background and overview[1]
phthalate, also known as veratrol, is a colorless and transparent liquid in pure form and solid at low temperatures. it has a wide range of industrial uses and is an important fine chemical raw material. it is not only used in the synthesis of dimethomorpholine a key intermediate, it can also be used as a reagent for detecting lactic acid in blood and determining glycerol.
synthesis method[1]
using catechol as the starting material, add 22.0g of catechol (0.2mol), 16g of sodium hydroxide (0.4mol), and 130ml of water into a high-pressure reactor with a stirring and temperature measuring device, and close it cover the kettle, use n2 to check for leaks and replace the air several times. add 20.2g (0.4mol) of methyl chloride, raise the temperature to 50°c, and the pressure to 0.3mpa. maintain this temperature and pressure and the reaction will end after 4 hours. reaction, the reaction solution is allowed to stand and separated to obtain the lower oil phase, which is subjected to normal pressure intermittent distillation, and the fractions at 216.5°c to 217.7°c are collected to obtain 24.8g of product, with a yield of 90.0% and a purity of 99%. the reaction scheme is as follows.

application fields[2][3][4][5]
1. synthesis of 4-methylcatechol
4-methylcatechol is an important organic chemical raw material. it can be used as an intermediate for the synthesis of spices, medicines, pesticides and dyes. it can also be used as an antioxidant in food and a highly efficient polymer polymer. polymerization inhibitor. 4-methylcatechol can be produced economically and safely using phthalate as raw material. the reaction formula is as follows. the main steps include:
(1) add phthalate and paraformaldehyde to an organic solvent, then add concentrated hydrochloric acid dropwise at -5°c to 10°c to obtain 4-chloromethyl phthalate;
(2) now add 4-chloromethyl phthalate to the alcoholic organic solvent, then add zinc powder and ammonium salt, and reduce it under heating and reflux to generate 4-methyl phthalate;
(3) mix 4-methyl phthalate, hydrogen bromide aqueous solution, phase transfer catalyst (such as triethylbenzyl ammonium chloride) and additives, and obtain 4-methyl phthalate under reflux and temperature diphenols.

2. synthesis of dimethomorpholine
dimethomorph is a derivative of cinnamic acid, which has a unique effect on algal ny mildew and phytophthora fungi. it can be used to prevent and control pathogens on grapes, cucumbers, and potatoes. it has low toxicity. , the advantages of good effect. using phthalic ether as the starting material, in the presence of organic solvent and aluminum trichloride, phthalic ether and p-chlorobenzoyl chloride undergo friedel-crafts reaction, and 3,4-dimethoxy is obtained in 1 to 5 hours. -4′-chlorobenzophenone reacts with acetylmorpholine in the presence of sodium amide to give dimethomorpholine.
3.production of hand sanitizer
place iodine (5 parts), licorice (15 parts), propylene glycol (8 parts), ganbaol (8 parts), phthalate (8 parts), citral (8 parts), nonylphenol polyoxygen add ethylene (5 parts) to the dispersion cylinder, mix with 10 parts of water, and stir at a low speed of 400 rpm for 20 minutes to form a uniform slurry, then add acetone (9 parts) and dimethylamide (5 parts) and glycerol (5 parts) into the slurry, stir evenly, and finally add the remaining 10 parts of water into the slurry, and stir evenly at a speed of 600 rpm to prepare a sterile typehandwashing fluid.
4. synthesis of ptp1b inhibitors
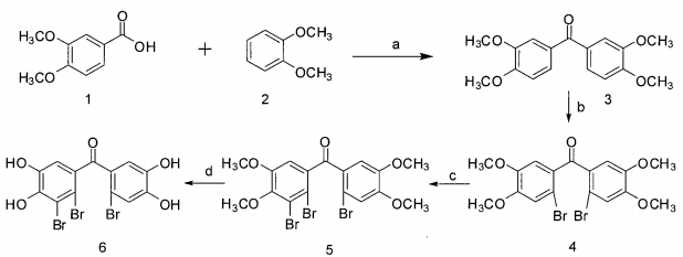
ptp1b (protein tyrosine phosphatase 1b) is one of the main members of the protein tyrosine phosphatase family and plays an important negative regulatory role in the insulin signal transduction pathway. studies have confirmed that in insulin-sensitive cells the application of ptp1b inhibitors can increase the phosphorylation levels of insulin receptors and their substrates, promote glucose transporter translocation and increase glucose uptake. ptp1b inhibitors function as insulin analogs and insulin sensitizers. -(2′-bromo-4′,5-dihydroxy-phenyl)-(2,3-dibromo-4,5-dihydroxy-phenyl)-methanone is a bromo-methyl ketone with ptp1b inhibitory activity marine natural products can be synthesized using phenylene dimethyl ether. the synthesis route is as follows.

main reference materials
[1] chen xinzhi, luo hu, qian chao, synthesis method of phthalate, cn 201010161432, application date 2010-04-29
[2] zhu jintao, li yang, zhou chuibei, a preparation method of 4-methylcatechol, cn 201310565149, application date 2013-11-13
[3] lu long, li zefang, phase transfer catalytic synthesis method of dimethomorpholine, cn 200610024481, application date 2006-08-09
[4] shao xuxia, an improved disinfectant hand sanitizer and its preparation method, cn 201210306615, application date 2012-08-14
[5] li jing, guo shuju, han lijun, a ptp1b inhibitor and its synthesis method and application, cn 200910231300, application date 2009-12-18

