3,4-dimethoxyphenylacetonitrile
structural formula business number 025y molecular formula c10h11no2 molecular weight 177.20 label (3,4-dimethoxyphenyl)acetonitrile, veratrum nitrile, 3,4-dimethoxybenzonitrile, 3,4-dimethoxy-benzeneacetonitril, 3,4-dimethoxybenzyl cyanide numbering system physical property data toxicological data ecological data molecular structure data computing chemical data more properties and stability storage method synthesis method purpose numbering system cas number:93-17-4 mdl number:mfcd00001911 einecs number:202-225-1 rtecs number:al9325000 brn number:1956100…
1,3-diphenyl-1,1,3,3-tetramethyldisiloxane
structural formula business number 017e molecular formula c16h22osi2 molecular weight 286.52 label 1,1,3,3-tetramethyl-1,3-diphenyldisiloxane numbering system physical property data toxicological data ecological data molecular structure data computing chemical data more properties and stability storage method synthesis method purpose numbering system cas number:56-33-7 mdl number:none einecs number:200-265-4 rtecs number:jm9236000 brn number:none pubchem id:none physical property data none…
3,3′-diaminodipropylamine
structural formula business number 017a molecular formula c6h17n3 molecular weight 131.22 label 3,3′-iminodipropylamine, n-(3-aminopropyl)-1,3-propanediamine, dipropylenetriamine, norspermidine, (nh2ch2ch2ch2)2nh numbering system physical property data toxicological data ecological data molecular structure data computing chemical data more properties and stability storage method synthesis method purpose numbering system cas number:56-18-8 mdl number:mfcd00008214 einecs number:200-261-2 rtecs number:jl9450000 brn number:1071254 pubchem number:24896102…
3,4-dimethoxybenzoic acid
structural formula business number 025q molecular formula c9h10o4 molecular weight 182.17 label 3,4-dimethoxybenzoic acid, veratrid acid, 3,4-dimethoxyformic acid, 3,4-dimethoxybenzoic acid, 3,4-dimethoxybenzoic acid, veratrumenoic acid, 3,4-dimethylprotocatechuic acid numbering system physical property data toxicological data ecological data molecular structure data computing chemical data more properties and stability storage method synthesis method purpose numbering system cas number:93-07-2 mdl…
3,4-dimethoxybenzyl alcohol
structural formula business number 025m molecular formula c9h12o3 molecular weight 168.19 label 3,4-dimethoxybenzyl alcohol, veratryl alcohol, ververatrol, 3,4-dimethoxyphenylmethyl alcohol, (3,4-dimethoxyphenyl)methanol numbering system physical property data toxicological data ecological data molecular structure data computing chemical data more properties and stability storage method synthesis method purpose numbering system cas number:93-03-8 mdl number:mfcd00004638 einecs number:202-212-0 rtecs number:none brn…
3,3′,5-triiodo-l-thyronine sodium salt
structural formula business number 016q molecular formula c15h12i3no4na molecular weight 672.96 label triiodothyronine sodium salt, liothyronine, t3, o-(4-hydroxy-3-iodophenyl)-3,5-diiodo-l-tyrosine sodium salt numbering system physical property data toxicological data ecological data molecular structure data computing chemical data more properties and stability storage method synthesis method purpose numbering system cas number:55-06-1 mdl number:mfcd00002594 einecs number:200-223-5 rtecs number:none brn…
3,4-diaminopyridine
structural formula business number 016p molecular formula c5h7n3 molecular weight 109.13 label none numbering system physical property data toxicological data ecological data molecular structure data computing chemical data more properties and stability storage method synthesis method purpose numbering system cas number:54-96-6 mdl number:mfcd00006401 einecs number:200-220-9 rtecs number:us7600000 brn number:110232 pubchem number:24894084 physical property data 1.…
3,4-dichlorophenol
structural formula business number 029t molecular formula c6h4cl2o molecular weight 163.00 label 3,4-dichlorophenol, 3,4-dichlorophenol, 3,4-dichloro-hydroxybenzene, cl2c6h3oh numbering system physical property data toxicological data ecological data molecular structure data computing chemical data more properties and stability storage method synthesis method purpose numbering system cas number:95-77-2 mdl number:mfcd00002258 einecs number:202-450-5 rtecs number:sk8800000 brn number:1907693 pubchem number:24894075 physical…
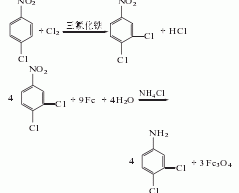
3,4-dichloroaniline
structural formula business number 029s molecular formula c6h5cl2n molecular weight 162 label aromatic nitrogen-containing compounds and their derivatives numbering system physical property data toxicological data ecological data molecular structure data computing chemical data more properties and stability storage method synthesis method purpose numbering system cas number:95-76-1 mdl number:mfcd00007768 einecs number:202-448-4 rtecs number:bx2625000 brn number:636837 pubchem…
3,4,6-trichloro-2-nitrophenol
structural formula business number 01t1 molecular formula c6h2cl3no3 molecular weight 242.44 label 2-nitro-3,4,6-trichlorophenol, 2-nitro-3,4,6-trichlorophenol numbering system physical property data toxicological data ecological data molecular structure data computing chemical data more properties and stability storage method synthesis method purpose numbering system cas number:82-62-2 mdl number:none einecs number:none rtecs number:none brn number:none pubchem id:none physical property data…

