phthalate_kain industrial additive
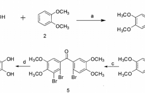
background and overview[1] phthalate, also known as veratrol, is a colorless and transparent liquid in pure form and solid at low temperatures. it has a wide range of industrial uses and is an important fine chemical raw material. it is not only used in the synthesis of dimethomorpholine a key intermediate, it can also be…

