
structural formula
| business number | 048d |
|---|---|
| molecular formula | cl2c7h4f3 |
| molecular weight | 215 |
| label |
3,4-dichlorotrifluorotoluene, 3,4-dichlorotrifluoromethylbenzene, 4-(trifluoromethyl)-1,2-dichlorobenzene, 1,2-dichloro-4-trifluoromethylbenzene, dichlorotrifluorotoluene, aromatic halogen derivatives |
numbering system
cas number:328-84-7
mdl number:mfcd00000555
einecs number:206-337-1
rtecs number:cz5527510
brn number:1950151
pubchem id:none
physical property data
1. physical property data
properties: colorless transparent liquid
density (g/ml, 25/ 4℃): 1.496
relative vapor density (g/ml, air=1): not available
melting point (ºc): – 11
boiling point (ºc, normal pressure): 173-174
boiling point (ºc, 5.2kpa): not available
refractive index: 1.4736
flash point (ºc): 65
specific rotation (º): not available
autoignition point or ignition temperature (ºc): not available
vapor pressure (kpa, 25ºc): not available
p>
saturated vapor pressure (kpa, 60ºc): not available
heat of combustion (kj/mol): not available
critical temperature (ºc): not available
critical pressure (kpa): not available
oil-water (octanol/ log value of the distribution coefficient of water): not available
upper explosion limit (%, v/v): not available
lower explosion limit (% ,v/v): not available
solubility: not available
toxicological data
2. toxicological data:
acute toxicity: not available.
ecological data
3. ecological data:
1. other harmful effects: this substance may be harmful to the environment, and special attention should be paid to water bodies.
molecular structure data
1. molar refractive index: 41.02
2. molar volume (cm3/mol): 146.9
3. isotonic specific volume (90.2k ): 336.2
4. surface tension (dyne/cm): 27.4
5. polarizability (10-24cm3): 16.26
compute chemical data
1. reference value for hydrophobic parameter calculation (xlogp): none
2. number of hydrogen bond donors: 0
3. number of hydrogen bond acceptors: 3
4. number of rotatable chemical bonds: 0
5. number of tautomers: none
6. topological molecule polar surface area 0
7. number of heavy atoms: 12
8. surface charge: 0
9. compleximpurity: 157
10. number of isotope atoms: 0
11. number of determined atomic stereocenters: 0
12. uncertain atomic stereocenter quantity: 0
13. determined number of stereocenters of chemical bonds: 0
14. uncertain number of stereocenters of chemical bonds: 0
15. covalent bonds number of units: 1
properties and stability
this product is toxic and its vapor can irritate the respiratory system. damage to the skin caused by the liquid can cause itching and pain. the maximum allowable concentration in the air is 5mg/m3.
storage method
packed in galvanized iron barrels, net weight 200kg per barrel, stored in a ventilated, sun-proof and moisture-proof place
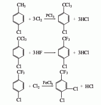
synthesis method
1.toluene method

2. raw material consumption quota for p-chlorotoluene method: p-chlorotoluene (≥98%) 900kg/t; chlorine 2500kg/t; hydrogen fluoride 500kg/t. 3.3,4-dichlorotrichloromethylbenzene fluorination method. the product yield of this method is 98.4%.

purpose
pesticides; pharmaceutical intermediates. used as an intermediate for the synthesis of diphenyl ether fluorine-containing herbicides. used to synthesize lactofluoropin, flufenacet, carboxyfen, etc.

