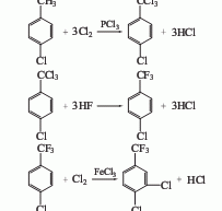
3,4-dichloro-1-trifluoromethylbenzene
structural formula business number 048d molecular formula cl2c7h4f3 molecular weight 215 label 3,4-dichlorotrifluorotoluene, 3,4-dichlorotrifluoromethylbenzene, 4-(trifluoromethyl)-1,2-dichlorobenzene, 1,2-dichloro-4-trifluoromethylbenzene, dichlorotrifluorotoluene, aromatic halogen derivatives numbering system physical property data toxicological data ecological data molecular structure data computing chemical data more properties and stability storage method synthesis method purpose numbering system cas number:328-84-7 mdl number:mfcd00000555 einecs number:206-337-1 rtecs number:cz5527510 brn…

