
structural formula
| business number | 03jp |
|---|---|
| molecular formula | c28h30o4 |
| molecular weight | 430.54 |
| label |
5′,5”-diisopropyl-2′,2”-dimethylphenolphthalein, thymolphthalein, thymephenolphthalein, ph indicator |
numbering system
cas number:125-20-2
mdl number:mfcd00005909
einecs number:204-729-7
rtecs number:none
brn number:359413
pubchem id:none
physical property data
1. properties: colorless needle crystals or white to light yellow crystalline powder.
2. melting point: 251-252℃ (decomposition)
3. solubility: soluble in ethanol , acetone, blue when soluble in dilute alkali, carmine red when soluble in sulfuric acid, insoluble in water.
toxicological data
none
ecological data
none
molecular structure data
1. molar refractive index: 126.12
2. molar volume (cm3/mol): 362.4
3. isotonic specific volume (90.2k): 961.6
4. surface tension (dyne/cm): 49.5
5. polarizability (10-24cm3): 50.00
compute chemical data
1. reference value for hydrophobic parameter calculation (xlogp): 6.8
2. number of hydrogen bond donors: 2
3. number of hydrogen bond acceptors: 4
4. number of rotatable chemical bonds: 4
5. number of tautomers: 45
6. topological molecule polar surface area 66.8
7. number of heavy atoms: 32
8. surface charge: 0
9. complexity: 636
10. number of isotope atoms: 0
11. determine the number of atomic stereocenters: 0
12. uncertain number of atomic stereocenters: 0
13. determine the number of chemical bond stereocenters: 0
14. number of uncertain chemical bond stereocenters: 0
15. number of covalent bond units: 1
properties and stability
basic properties: changes color when exposed to acid and alkali
storage method
storage: sealed and stored.
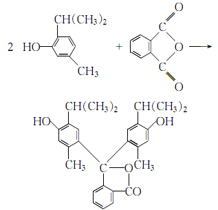
synthesis method
1. mix thymol, phthalic anhydride and anhydrous zinc chloride and heat. add diethyl ether and benzene. heat to reflux on a water bath, pour off the upper solvent, add methanol to the solid, and heat. extract the remaining solid matter with methanol, add water dropwise to precipitate, and cool to obtain pure thymol phthalein.
2.mix thymol, phthalic anhydride and anhydrouszinc chloride, heat to 105~110℃ with stirring, and keep warm for 6 ~8h for reaction:

after the reaction is completed, cool it first, then add a small amount of ether and benzene, and heat and reflux in a water bath to completely dissolve the unreacted thymol. cool and crystallize. separate the upper solvent, add methanol to the crystallization, extract the product, collect the extract, add water dropwise to the extract until the precipitation stops, cool and crystallize, which is thymolphthalein. according to the requirements of the pure product, it can be repeated with hot methanol extraction and dripping precipitation process.
purpose
1. used as a ph indicator, the color change range is ph 9.4-10.6, from colorless to blue. acid-base indicator for blood testing.

