thymolphthalein thymolphthalein
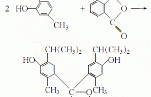
structural formula business number 03jp molecular formula c28h30o4 molecular weight 430.54 label 5′,5”-diisopropyl-2′,2”-dimethylphenolphthalein, thymolphthalein, thymephenolphthalein, ph indicator numbering system physical property data toxicological data ecological data molecular structure data computing chemical data more properties and stability storage method synthesis method purpose numbering system cas number:125-20-2 mdl number:mfcd00005909 einecs number:204-729-7 rtecs number:none brn number:359413 pubchem id:none…

