
structural formula
| business number | 01us |
|---|---|
| molecular formula | c10h6cl2n2o4s |
| molecular weight | 323.15 |
| label |
1-(2,5-dichloro-4-phenylsulfonate)-3-methyl-5-pyrazolone, 1-(2,5-dichloro-4-sulfophenyl)-3-methyl-5-pyrazolone, heterocyclic compounds |
numbering system
cas number:84-57-1
mdl number:none
einecs number:201-541-7
rtecs number:db6040000
brn number:none
pubchem number:24848468
physical property data
1. appearance: white or yellow crystalline powder
2. density (g/ml, 25/4℃): undetermined
3. relative vapor density (g/ ml, air = 1): undetermined
4. melting point (ºc): undetermined
5. boiling point (ºc, normal pressure): undetermined
6. boiling point (ºc, 5.2kpa): undetermined
7. refractive index: undetermined
8. flash point (ºc): undetermined
9. specific rotation (º): undetermined
10. autoignition point or ignition temperature (ºc): undetermined
11. vapor pressure (kpa, 25ºc): undetermined
12. saturated vapor pressure (kpa, 60ºc): undetermined
13. heat of combustion (kj/mol): undetermined
14. critical temperature (ºc): undetermined
15. critical pressure (kpa): undetermined
16. log value of oil-water (octanol/water) partition coefficient: undetermined
17. explosion upper limit (%, v/v): undetermined
18. explosion lower limit (%, v/v): undetermined
19. solubility: easily soluble in water and ethanol, soluble in alkali, slightly soluble in ether
toxicological data
rabbit skin and eye test: 500 mg/24hreaction;
ecological data
none yet
molecular structure data
1. molar refractive index: 70.83
2. molar volume (cm3/mol): 184.9
3. isotonic specific volume (90.2k): 535.4
4. surface tension (dyne/cm): 70.2
5. polarizability (10-24cm3): 28.07
compute chemical data
1. hydrophobic parameter calculation reference value (xlogp): 1.3
2. number of hydrogen bond donors: 1
3. number of hydrogen bond acceptors: 5
4. number of rotatable chemical bonds: 2
5. number of tautomers: 3
6. topological molecular polar surface area (tpsa): 87
7. number of heavy atoms: 19
8. surface charge: 0
9. complexity: 516
10. number of isotope atoms: 0
11. determine the atomic stereocenter quantity: 0
12. number of uncertain atomic stereocenters: 0
13. number of determined chemical bond stereocenters: 0
14. uncertain chemical bonds number of stereocenters: 0
15, number of covalent bond units: 1
properties and stability
low toxicity, please refer to 1-phenyl-3-methyl-5-pyrazolinone for its toxicity and protection methods. packed in iron drums lined with plastic bags. 30kg or 50kg per barrel.
storage method
this product should be sealed and stored in a cool, dry place. store and transport according to general chemical regulations.
synthesis method
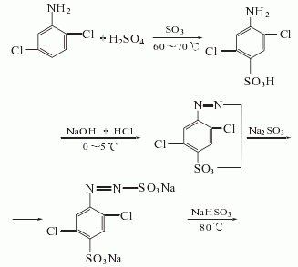
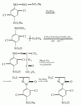
after sulfonation of 2,5-dichloroaniline, it is diazotized with sodium nitrite. the diazonium salt is reduced by sodium sulfite and sodium bisulfite to obtain 2,5-dichloro-4-sulfonic acid phenylhydrazine sulfonate sodium salt, which is acidified with sulfuric acid to form sulfate, and then condensed with ethyl acetoacetate, and neutralized with soda ash and remove the ethyl ester, and then acidify to obtain the finished product.


purpose
intermediates for dyes.

