1-(2
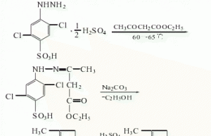
1-(2′,5′-dichloro-4′-sulfophenyl)-3-methyl-5-pyrazolone1-(2′,5′-dichloro-4′-sulfophenyl) -3-methyl-5-pyrazolone
structural formula business number 01us molecular formula c10h6cl2n2o4s molecular weight 323.15 label 1-(2,5-dichloro-4-phenylsulfonate)-3-methyl-5-pyrazolone, 1-(2,5-dichloro-4-sulfophenyl)-3-methyl-5-pyrazolone, heterocyclic compounds numbering system physical property data toxicological data ecological data molecular structure data computing chemical data more properties and stability storage method synthesis method purpose numbering system cas number:84-57-1 mdl number:none einecs number:201-541-7 rtecs number:db6040000 brn number:none pubchem number:24848468 physical…
1-(2,3-dichlorophenyl)piperazine monohydrochloride
post date: jan 11,2022 expiry date: jul 10,2022 detailed description: cas no. :119532-26-2;41202-77-1 cas registry number: 119532-26-2;41202-77-1 synonyms: ;1-(2,3-dichlorophenyl)-piperazine hydrochloride;1-(2,3-dichlorophenyl)piperazine;1-(2,3-dichlorophenyl) piperazine;1-(2,3-dichlorophenyl)-piperazine monohydrochloride;1-(2,3-dichlorophenyl)piperazine hydrochloride;4-(2,3-dichlorophenyl)piperazin-1-ium chloride;4-(2,3-dichlorophenyl)piperazin-1-ium;1-(2,3-dichlorophenyl)piperazine dihydrochloride;1-(2,3-dichlorophenyl)piperazine hcl;1-(2,3-dichlorophenyl) piperazine hydrochloride;1-(2,3-dichlorophenyl piperazine mono.hydrochloride;1-(2,3-dichloro phenyl) pipearzine hydrochloride; molecular formula: c10h14cl4n2 molecular weight: 304.0436 molecular structure: risk codes: r36/37/38:; safety description: s26:;s36:;
1-(2,4-dichlorophenyl)-2-(1-imidazolyl)ethanol
post date: jan 04,2022 expiry date: jul 03,2022 detailed description: cas no. :24155-42-8 quantity: 10metric tons specs:99% payment method: t/t l/c product name:alpha-(2,4-dichlorophenyl)-1h-imidazole-1-ethanolsynonyms:1-(2,4-dichlorophenyl)-2-(1h-imidazol-1-yl)ethanol;1-(2,4-dichlorophenyl)-2-(1-imidazolyl)ethanol;1-(2,4-dichlorophenyl)-2-imidazol-1-yl ethanol;1h-imidazole-1-ethanol, alpha-(2,4-dichlorophenyl)-;alpha-(2,4-dichlorophenyl)-1h-imidazole-1-ethanol;alpha-(2,4-dichlorophenyl)-2-1h-imidazole-1-ethanol;alpha-(2,4-dichloro phenyl)-b-(imidazole-yl)ethanol;-(2,4-dichlorophenyl)-1h-imidazole-1-ethanolcas:24155-42-8mf:c11h10cl2n2omw:257.12einecs:246-042-5 cas registry number: 24155-42-8 synonyms: ;1-(2,4-dichlorophenyl)-2-imidazol-1-ylethanol;1-(2,4-dichlorphenyl)-2-1-imidazolyl)-ethanol;1-(2,4-dichlorophenyl)-2-(1h-imidazol-1-yl)ethanol;(1s)-1-(2,4-dichlorophenyl)-2-(1h-imidazol-1-yl)ethanol;(1r)-1-(2,4-dichlorophenyl)-2-(1h-imidazol-1-yl)ethanol;2-(2,4-dichlorophenyl)-1h-imidazole-1-ethanol;a-(2,4-dichlorophenyl)-2-(1h-imidazole-1-yl)ethanol; molecular formula: c11h10cl2n2o molecular weight: 257.1159 molecular structure: hazard symbols: xn:harmful; risk codes: r22:; safety description: s28b:;s38:;
1-(2,3-dichlorophenyl)piperazine hydrochloride
post date: dec 22,2021 expiry date: jun 20,2022 detailed description: cas no. :119532-26-2;41202-77-1 specs:purity:98% product name: 1-(2,3-dichlorophenyl)piperazine hydrochloridealias: 1-(2,3-dichlorophenyl)-piperazine monohydrochloridemolecular formula: c10h12cl2n2.hcl; c10h13cl3n2molecular weight: 267.58cas no.: 119532-26-2physicochemical property: melting point: 245-247ºcpurity: 98%usage: a benefit for the piperazine-yl, etc. api synthesis. cas registry number: 119532-26-2;41202-77-1 synonyms: ;1-(2,3-dichlorophenyl)-piperazine hydrochloride;1-(2,3-dichlorophenyl)piperazine;1-(2,3-dichlorophenyl) piperazine;1-(2,3-dichlorophenyl)-piperazine monohydrochloride;1-(2,3-dichlorophenyl)piperazine hydrochloride;4-(2,3-dichlorophenyl)piperazin-1-ium chloride;4-(2,3-dichlorophenyl)piperazin-1-ium;1-(2,3-dichlorophenyl)piperazine dihydrochloride;1-(2,3-dichlorophenyl)piperazine hcl;1-(2,3-dichlorophenyl) piperazine hydrochloride;1-(2,3-dichlorophenyl…
1-(2,3-dichlorophenyl)-piperazine monohydrochloride
post date: dec 22,2021 expiry date: jun 20,2022 detailed description: cas no. :119532-26-2;41202-77-1 cas registry number: 119532-26-2;41202-77-1 synonyms: ;1-(2,3-dichlorophenyl)-piperazine hydrochloride;1-(2,3-dichlorophenyl)piperazine;1-(2,3-dichlorophenyl) piperazine;1-(2,3-dichlorophenyl)-piperazine monohydrochloride;1-(2,3-dichlorophenyl)piperazine hydrochloride;4-(2,3-dichlorophenyl)piperazin-1-ium chloride;4-(2,3-dichlorophenyl)piperazin-1-ium;1-(2,3-dichlorophenyl)piperazine dihydrochloride;1-(2,3-dichlorophenyl)piperazine hcl;1-(2,3-dichlorophenyl) piperazine hydrochloride;1-(2,3-dichlorophenyl piperazine mono.hydrochloride;1-(2,3-dichloro phenyl) pipearzine hydrochloride; molecular formula: c10h14cl4n2 molecular weight: 304.0436 molecular structure: risk codes: r36/37/38:; safety description: s26:;s36:;
1-(2,3-dichlorophenyl)piperazine hydrochloride
post date: dec 22,2021 expiry date: dec 22,2022 detailed description: cas no. :119532-26-2;41202-77-1 product name: 1-(2,3-dichlorophenyl)piperazine hydrochloridealias: 1-(2,3-dichlorophenyl)-piperazine monohydrochloride molecular formula: c10h12cl2n2.hcl; c10h13cl3n2molecular weight: 267.58cas no.: 119532-26-2physicochemical property: melting point: 245-247ºcpurity: 98%usage: a benefit for the piperazine-yl, etc. api synthesis. cas registry number: 119532-26-2;41202-77-1 synonyms: ;1-(2,3-dichlorophenyl)-piperazine hydrochloride;1-(2,3-dichlorophenyl)piperazine;1-(2,3-dichlorophenyl) piperazine;1-(2,3-dichlorophenyl)-piperazine monohydrochloride;1-(2,3-dichlorophenyl)piperazine hydrochloride;4-(2,3-dichlorophenyl)piperazin-1-ium chloride;4-(2,3-dichlorophenyl)piperazin-1-ium;1-(2,3-dichlorophenyl)piperazine dihydrochloride;1-(2,3-dichlorophenyl)piperazine hcl;1-(2,3-dichlorophenyl) piperazine hydrochloride;1-(2,3-dichlorophenyl piperazine…
1-(2,3-dichlorophenyl)piperazine monohydrochloride
post date: dec 22,2021 expiry date: jun 20,2022 detailed description: cas no. :119532-26-2;41202-77-1 catalog no: aripiprazole intermediateproduct name:1-(2,3-dichlorophenyl)piperazine monohydrochloridecas no: 119532-26-2assay: ≥99.0%molecular formula: c10h12cl2n2.hclstructure: usage: aripiprazole intermediate cas registry number: 119532-26-2;41202-77-1 synonyms: ;1-(2,3-dichlorophenyl)-piperazine hydrochloride;1-(2,3-dichlorophenyl)piperazine;1-(2,3-dichlorophenyl) piperazine;1-(2,3-dichlorophenyl)-piperazine monohydrochloride;1-(2,3-dichlorophenyl)piperazine hydrochloride;4-(2,3-dichlorophenyl)piperazin-1-ium chloride;4-(2,3-dichlorophenyl)piperazin-1-ium;1-(2,3-dichlorophenyl)piperazine dihydrochloride;1-(2,3-dichlorophenyl)piperazine hcl;1-(2,3-dichlorophenyl) piperazine hydrochloride;1-(2,3-dichlorophenyl piperazine mono.hydrochloride;1-(2,3-dichloro phenyl) pipearzine hydrochloride; molecular formula: c10h14cl4n2 molecular weight: 304.0436 molecular structure:…
1-(2,3-dichlorophenyl)piperazine monohydrochloride
post date: dec 10,2021 expiry date: jun 08,2022 detailed description: cas no. :119532-26-2;41202-77-1 catalog no: aripiprazole intermediateproduct name:1-(2,3-dichlorophenyl)piperazine monohydrochloridecas no: 119532-26-2assay: ≥99.0%molecular formula: c10h12cl2n2.hclstructure: usage: aripiprazole intermediate cas registry number: 119532-26-2;41202-77-1 synonyms: ;1-(2,3-dichlorophenyl)-piperazine hydrochloride;1-(2,3-dichlorophenyl)piperazine;1-(2,3-dichlorophenyl) piperazine;1-(2,3-dichlorophenyl)-piperazine monohydrochloride;1-(2,3-dichlorophenyl)piperazine hydrochloride;4-(2,3-dichlorophenyl)piperazin-1-ium chloride;4-(2,3-dichlorophenyl)piperazin-1-ium;1-(2,3-dichlorophenyl)piperazine dihydrochloride;1-(2,3-dichlorophenyl)piperazine hcl;1-(2,3-dichlorophenyl) piperazine hydrochloride;1-(2,3-dichlorophenyl piperazine mono.hydrochloride;1-(2,3-dichloro phenyl) pipearzine hydrochloride; molecular formula: c10h14cl4n2 molecular weight: 304.0436 molecular structure:…
1-(2,3-dichlorophenyl)piperazine hydrochloride
post date: nov 29,2021 expiry date: may 28,2022 detailed description: cas no. :119532-26-2;41202-77-1 specs:purity:98% product name: 1-(2,3-dichlorophenyl)piperazine hydrochloridealias: 1-(2,3-dichlorophenyl)-piperazine monohydrochloridemolecular formula: c10h12cl2n2.hcl; c10h13cl3n2molecular weight: 267.58cas no.: 119532-26-2physicochemical property: melting point: 245-247ºcpurity: 98%usage: a benefit for the piperazine-yl, etc. api synthesis. cas registry number: 119532-26-2;41202-77-1 synonyms: ;1-(2,3-dichlorophenyl)-piperazine hydrochloride;1-(2,3-dichlorophenyl)piperazine;1-(2,3-dichlorophenyl) piperazine;1-(2,3-dichlorophenyl)-piperazine monohydrochloride;1-(2,3-dichlorophenyl)piperazine hydrochloride;4-(2,3-dichlorophenyl)piperazin-1-ium chloride;4-(2,3-dichlorophenyl)piperazin-1-ium;1-(2,3-dichlorophenyl)piperazine dihydrochloride;1-(2,3-dichlorophenyl)piperazine hcl;1-(2,3-dichlorophenyl) piperazine hydrochloride;1-(2,3-dichlorophenyl…
1-(2,3-dichlorophenyl)-piperazine monohydrochloride
post date: nov 29,2021 expiry date: may 28,2022 detailed description: cas no. :119532-26-2;41202-77-1 cas registry number: 119532-26-2;41202-77-1 synonyms: ;1-(2,3-dichlorophenyl)-piperazine hydrochloride;1-(2,3-dichlorophenyl)piperazine;1-(2,3-dichlorophenyl) piperazine;1-(2,3-dichlorophenyl)-piperazine monohydrochloride;1-(2,3-dichlorophenyl)piperazine hydrochloride;4-(2,3-dichlorophenyl)piperazin-1-ium chloride;4-(2,3-dichlorophenyl)piperazin-1-ium;1-(2,3-dichlorophenyl)piperazine dihydrochloride;1-(2,3-dichlorophenyl)piperazine hcl;1-(2,3-dichlorophenyl) piperazine hydrochloride;1-(2,3-dichlorophenyl piperazine mono.hydrochloride;1-(2,3-dichloro phenyl) pipearzine hydrochloride; molecular formula: c10h14cl4n2 molecular weight: 304.0436 molecular structure: risk codes: r36/37/38:; safety description: s26:;s36:;

