
structural formula
| business number | 02h1 |
|---|---|
| molecular formula | c6h5no3 |
| molecular weight | 139.11 |
| label |
4-nitro-1-hydroxybenzene, 4-nitrophenol, 4-nitrophenol, nitrophenol, p-hydroxynitrophenol, 1-hydroxy-4-nitrobenzene, 4-hydroxy-1-nitrobenzene, 4-nitrofenol, 4-nitro-phenol, mononitrophenol, paranitrofenol, p-hydroxynitrobenzene, aromatic nitrogen-containing compounds and their derivatives |
numbering system
cas number:100-02-7
mdl number:mfcd00007331
einecs number:202-811-7
rtecs number:sm2275000
brn number:1281877
pubchem number:24846675
physical property data
1. characteristics: colorless to light yellow crystalline powder with a bitter almond-like smell. [1]
2. melting point (℃): 113~115[2]
3. boiling point (℃) :279 (decomposition)[3]
4. relative density (water = 1): 1.27[4]
5. saturated vapor pressure (kpa): 0.92 (16℃)[5]
6. heat of combustion (kj/mol): -2879.2[6]
7. octanol/water partition coefficient: 1.91[7]
8. flash point (℃): 192[ 8]
9. ignition temperature (℃): 283[9]
10. solubility: soluble in hot water, ethanol, ether, chloroform. [10]
toxicological data
1. acute toxicity[11] ld50: 250mg/kg (rat oral)
2. irritation no data yet
3. mutagenicity [12] dna damage: e. coli 50μmol/l. dna inhibition: human fibroblasts 1mmol/l. dna adduct: e. coli 50 μmol/l. gene transformation and mitotic recombination: saccharomyces cerevisiae 21mmol/l.
ecological data
1. ecotoxicity[13]
lc50: 64.6mg/l (24h), 54.4mg/l (48h), 44.1 mg/l (72h), 41mg/l (96h) (fathead minnow); 7.9mg/l (96h) (rainbow trout); 12mg/l (24h), 8.3mg/l (96h) (bluegill sunfish) ); 10mg/l (48h) (aroma elegans); 11mg/l (24h) (daphnia)
ec50: 4.8mg/l (scenedesmus obliquus); 25mg/l ( 6h) (skeletonema costalis); 5.5mg/l (24h) (tetrahymena pyriformis)
2. biodegradability[14]
aerobic biodegradation (h): 18.2~168
anaerobic biodegradation (h): 163~235
3. non biodegradability[15]
aqueous phase light��half-life (h): 3.1~329
photolysis maximum light absorption wavelength range (nm): 227~310
photooxidation half-life (h) in water: 642~4.90× 104
photooxidation half-life in air (h): 14.5~145
4. bioaccumulation [16] bcf: 2~8 (carp, contact concentration 0.2mg/l, contact time 6 weeks); 3~5 (carp, contact concentration 0.02mg/l, contact time 6 weeks); 79 ( fathead minnow); 58 (golden round-bellied yarrow)
molecular structure data
1. molar refractive index: 34.67
2. molar volume (cm3/mol): 99.7
3. isotonic specific volume (90.2k ): 277.7
4. surface tension (dyne/cm): 60.2
5. dielectric constant:
6. dipole moment (10-24cm3):
7. polarizability: 13.74
compute chemical data
1. reference value for hydrophobic parameter calculation (xlogp): none
2. number of hydrogen bond donors: 1
3. number of hydrogen bond acceptors: 3
4. number of rotatable chemical bonds: 0
5. number of tautomers: 2
6. topological molecule polar surface area 66
7. number of heavy atoms: 10
8. surface charge: 0
9. complexity: 123
10. number of isotope atoms: 0
11. determine the number of atomic stereocenters: 0
12. uncertain number of atomic stereocenters: 0
13. determine the number of chemical bond stereocenters: 0
14. number of uncertain chemical bond stereocenters: 0
15. number of covalent bond units: 1
properties and stability
1. stability[17] stable
2. incompatible substances[18] strong oxidizing agent, strong reducing agent, strong alkali
3. conditions to avoid contact[19] heating
4. polymerization hazard[20] no polymerization
5. decomposition products[21] nitrogen oxides
storage method
1. storage precautions[22] store in a cool, ventilated warehouse. keep away from fire and heat sources. the packaging is sealed. they should be stored separately from oxidants, reducing agents, alkalis, and food chemicals, and avoid mixed storage. use explosion-proof lighting and ventilation facilities. it is prohibited to use mechanical equipment and tools that are prone to sparks. suitable materials should be available in the storage area to contain spills.
2. packed in composite woven bags lined with polyethylene light-proof bags, with a net weight of 50kg or 100kg per bag. it should be stored in a cool, ventilated and dry warehouse. keep away from fire and do not store or transport together with food additives.
synthesis method
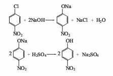
1. the preparation method is hydrolysis and acidification of p-nitrochlorobenzene to obtain p-nitrophenol.
add sodium hydroxide solution with a concentration of 137~140 g/l into the hydrolysis kettle, and then add molten p-nitrochlorobenzene. heating to 152°c, the pressure in the kettle is 0.4 mpa, then stopping heating, the heat released by the hydrolysis reaction causes the temperature and pressure to naturally rise to 165°c, about 0.6 mpa. after maintaining for 3 hours, a sample was taken to check the reaction endpoint. after the reaction was completed, the hydrolyzate was cooled to 120°c. add the hydrolyzate and a certain amount of concentrated sulfuric acid and water into the crystallization kettle and cool it to about 50°c. add concentrated sulfuric acid to make the congo red test paper turn purple, continue to cool to 30°c, filter with suction, and centrifuge to remove water, thus obtaining p-nitrophenol with a content of more than 90%.
2.it is produced by nitrating phenol into o-nitrophenol and p-nitrophenol, and then separating o-nitrophenol through steam distillation. it can also be obtained by hydrolysis of p-chloronitrobenzene.

3.add molten p-nitrochlorobenzene and about 13% sodium hydroxide to the pressure hydrolysis kettle in a ratio of 1:4.5, and heat to 150°c while stirring. when the pressure reaches 0.4mpa, stop heating. the temperature and pressure will continue to rise to 165°c and 0.6mpa. keep the temperature for more than 3 hours and check the reaction end point:

after the reaction is completed, the hydrolyzate is cooled to 120°c and pressed. into the 13% sulfuric acid solution prepared in advance and cooled to about 50°c. slowly add concentrated sulfuric acid while stirring to turn the congo red test paper purple, continue to cool to 30°c, filter, and centrifuge to dryness. wash the crystal with a small amount of cold water until it is qualified, spin dry and then dry to obtain p-nitrophenol.
purpose
1. used in dye manufacturing, drug manufacturing and as reagents. used to prepare sulfide grass green gn, sulfide reduction black cl, sulfide reduction black clb, sulfide red brown b3r, sulfide reduction blue rnx, haichang blue rx, etc. also used to prepare dye intermediate 4-aminophenol. in the pharmaceutical industry, it is used to prepare phenacetin and paracetamol. it is also used to prepare developer mitall, pesticide 1605 and antifungal agent for leather.
2. used as leather preservative. it is also a raw material for manufacturing dyes, drugs, etc., and can also be used as a single-color ph indicator. the color change range is 5.6 to 7.4, from colorless to yellow.
3. used as an intermediate for pesticides, medicines, dyes and other fine chemicals to prepare paracetamol, phenacetin, developer mitall, pesticide 1605, sulfur dyes and antifungal agents for leather.
4. used in dye manufacturing, drug manufacturing and as reagents. [23]
�used as a reagent. [23]

