
structural formula
| business number | 01l7 |
|---|---|
| molecular formula | c27h30o5s |
| molecular weight | 466.59 |
| label |
4,4′-(3h-2,1-benzoxthiol-3-ylidene)bis[5-methyl-2-(1-methylethyl)phenol]-s,s-dioxide , thymol blue, daphne blue, thyme blue, thymol blue, thymol titanium sulfonate, thymol titanium sulfonate, thymolsulfonphthalein, 4,4′-(3h-2,1-benzoxathiol-3-ylidene)bis[5-methyl-2-(1-methylethyl)phenol] s,s-dioxide, thymolsulfonephthalein, acid-base indicator |
numbering system
cas number:76-61-9
mdl number:mfcd00005869
einecs number:200-973-3
rtecs number:xp2575000
brn number:368036
pubchem number:24859654
physical property data
1. appearance: dark blue, green or reddish-purple crystalline powder, with an odor
2. density (g/ml, 25/4℃): uncertain
3. relative vapor density (g/ml, air=1): uncertain
4. melting point (ºc): 200-220℃
5. boiling point (ºc, normal pressure): uncertain
6. boiling point (ºc, 5.2kpa): uncertain
7. refractive index: uncertain
8. flash point ( ºc): uncertain
9. specific optical rotation (º): uncertain
10. autoignition point or ignition temperature (ºc): uncertain
11. vapor pressure (kpa, 25ºc): uncertain
12. saturated vapor pressure (kpa, 60ºc): uncertain
13. heat of combustion (kj/mol): uncertain
14. critical temperature (ºc): uncertain
15. critical pressure (kpa): uncertain
16. oil and water (octanol/ log value of the partition coefficient (water): uncertain
17. explosion upper limit (%, v/v): uncertain
18. explosion lower limit (%, v/v): uncertain
19. solubility: insoluble in water, yellow when soluble in ethanol, blue when soluble in alkali
20. maximum absorption wavelength: 420nm
toxicological data
e. coli: 50 umol/l
ecological data
none yet
numeratorstructured data
1. molar refractive index: 129.62
2. molar volume (cm3/mol): 379.4
3. isotonic specific volume (90.2k): 1004.5
4. surface tension (dyne/cm): 49.1
5. polarizability (10-24cm3): 51.38
compute chemical data
1. reference value for hydrophobic parameter calculation (xlogp): none
2. number of hydrogen bond donors: 2
3. number of hydrogen bond acceptors: 5
4. number of rotatable chemical bonds: 4
5. number of tautomers: 45
6. topological molecule polar surface area 92.2
7. number of heavy atoms: 33
8. surface charge: 0
9. complexity: 751
10. number of isotope atoms: 0
11. determine the number of atomic stereocenters: 0
12. uncertain number of atomic stereocenters: 0
13. determine the number of chemical bond stereocenters: 0
14. number of uncertain chemical bond stereocenters: 0
15. number of covalent bond units: 1
properties and stability
none yet
storage method
seal and save.
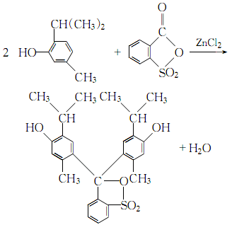
synthesis method
1. prepared by the condensation of thymol and o-sulfobenzoic anhydride.
2.mix benzenesulfonic anhydride, thymol, and anhydrous zinc chloride, heat it, add water to dilute it, and then steam distill it. unreacted thymol is removed and thymol blue is obtained after cooling.
3.mix o-sulfonylbenzoyl anhydride, thymol, and anhydrous zinc chloride, and heat with stirring to 105~110℃ for reaction:

after the reaction is completed, add water to dilute and heat, steam out the unreacted thymol, cool and crystallize, and filter. wash the crystal with a small amount of ethanol, further remove thymol, and then dry it in the air.
purpose
1. as an acid-base indicator, it has two discoloration ranges, the first discoloration range ph value is 1.2 (red) ~ 2.8 (yellow), and the second discoloration range ph value is 8.0 (yellow) ~ 9.6 (blue). clinically used as diagnostic medicine.
2. acid-base indicator, adsorption indicator.

