
structural formula
| business number | 02ef |
|---|---|
| molecular formula | c11h14o2 |
| molecular weight | 178.23 |
| label |
p-tert-butylbenzoic acid, aromatic carboxylic acids and their derivatives, acidic solvent |
numbering system
cas number:98-73-7
mdl number:mfcd00002563
einecs number:202-696-3
rtecs number:dg4708000
brn number:607545
pubchem id:none
physical property data
1. properties: colorless needle-like crystals or fine crystalline powder.
2. density (g/ml, 25/4℃): 1.142
3. relative vapor density (g/ml, air=1): undetermined
4. melting point (ºc): 162~165
5. gas phase standard combustion heat (enthalpy) (kj·mol-1): -5931.0
6. gas phase standard claims heat (enthalpy) (kj·mol-1): -398.5
7. refractive index: undetermined
8. flash point (ºc): 180
9. standard heat of combustion (enthalpy) of crystalline phase (kj·mol-1): -5826.6
12. crystal phase standard claims heat (enthalpy) (kj·mol-1): -502.9
11. vapor pressure (kpa, 25ºc): undetermined
12. saturated vapor pressure (kpa, 60ºc): undetermined
13. heat of combustion (kj/mol): undetermined
14. critical temperature (ºc) : undetermined
15. critical pressure (kpa): undetermined
16. log value of oil-water (octanol/water) partition coefficient: undetermined
17. explosion upper limit (%, v/v): undetermined
18. explosion lower limit (%, v/v): undetermined
19. solubility: soluble in ethanol and benzene are insoluble in water.
20. boiling point (ºc): 280
toxicological data
1. acute toxicity: rat oral ld50: 700mg/kg; rat inhalation lc50: >1900mg/m3/4h; 2. reproductive toxicity: inhalation tclo of male rats 7 days before mating: 106 mg/m3/6hsex/ duration; inhalation tclo of male rats 7 days before mating: 12500μg/m3/6hsex/duration; skin contact tdlo of male rats 65 days before mating: 4550 mg/kgsex/duration; skin contact of male rats 7 weeks before mating tdlo: 2450 mg/kgsex/duration;
ecological data
this substance is slightly hazardous to water.
molecular structure data
1. molar refractive index: 51.57
2. molar volume (cm3/mol): 168.6
3. isotonic specific volume (90.2k ): 417.4
4. surface tension (dyne/cm): 37.5
5. dielectric constant:
6. dipole moment (10-24cm3):
7. polarizability: 20.44
compute chemical data
1. hydrophobic parameter calculation reference value (xlogp): 3.9
2. number of hydrogen bond donors: 1
3. number of hydrogen bond acceptors: 2
4. number of rotatable chemical bonds: 2
5. number of tautomers:
6. topological molecular polar surface area (tpsa): 37.3
7. number of heavy atoms: 13
8. surface charge: 0
9. complexity: 183
10. number of isotope atoms: 0
11. determine the number of atomic stereocenters: 0
12. uncertain number of atomic stereocenters: 0
13. determine the number of chemical bond stereocenters number: 0
14. number of uncertain chemical bond stereocenters: 0
15. number of covalent bond units: 1
properties and stability
1. avoid contact with strong oxidants. this product is moderately toxic. ld50 is 73mg/kg. protective clothing should be worn.
2. exist in smoke.
storage method
stored in a cool, ventilated warehouse. keep away from fire and heat sources. should be kept away from oxidizer, do not store together. suitable materials should be available in the storage area to contain spills. it should be stored in a cool, dry place and keep the container sealed. keep away from strong oxidants and strong alkali.
synthesis method
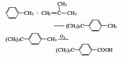
p-tert-butyltoluene is obtained by alkylation of toluene and then oxidized. raw material consumption quota: toluene 610kg/t, isobutylene 370kg/t.

purpose
organic synthesis intermediates. used to produce alkyd resin modifiers, cutting oil, lubricating oil additives, polypropylene nucleating agents, and stabilizers.

