
structural formula
| business number | 02dt |
|---|---|
| molecular formula | c6h9no5s |
| molecular weight | 189.19 |
| label |
2-amino-1-phenol-4-sulfonic acid, o-aminophenol sulfonic acid, 2-aminophenol-4-sulfonic acid, 4-hydroxy-m-aminobenzenesulfonic acid, p-hydroxy-m-aminobenzenesulfonic acid, 2-aminophenol-4-sulfonic acid, o-aminophenol-p-sulfonic acid, 2-aminophenol-1-sulfonic acid, 4-hydroxymetanilic acid, aromatic sulfur compounds |
numbering system
cas number:98-37-3
mdl number:mfcd00007696
einecs number:202-662-8
rtecs number:none
brn number:514765
pubchem number:24846256
physical property data
1. properties: colorless to gray-brown rhombus crystals.
2. density (g/ml, 20℃): undetermined
3. relative vapor density (g/ml, air=1): undetermined
4. melting point: no melting point, it will start to decompose when heated to above 300ºc.
5. boiling point (ºc, normal pressure): undetermined
6. boiling point (ºc, kpa): undetermined
7. refractive index: undetermined determined
8. flash point (ºc): undetermined
9. specific rotation (º): undetermined
10. autoignition point or ignition temperature (ºc): not determined
11. vapor pressure (mmhg, 40ºc): not determined
12. saturated vapor pressure (kpa, 20ºc): not determined
13. heat of combustion (kj/mol): undetermined
14. critical temperature (ºc): undetermined
15. critical pressure (kpa): undetermined
16. the logarithmic value of the oil-water (octanol/water) partition coefficient: undetermined
17. the upper limit of explosion (%, v/v): undetermined
18. lower explosion limit (%, v/v): undetermined
19. solubility: soluble in hot water, easily soluble in alkaline solution.
toxicological data
none
ecological data
none
molecular structure data
1. molar refractive index: 42.24
2. molar volume (cm3/mol): 112.9
3. isotonic specific volume (90.2k ): 343.4
4. surface tension (dyne/cm): 85.5
5. dielectric constant:
6. dipole moment (10-24cm3):
7�� polarizability: 16.74
compute chemical data
1. reference value for hydrophobic parameter calculation (xlogp): -0.1
2. number of hydrogen bond donors: 3
3. number of hydrogen bond acceptors: 5
p>
4. number of rotatable chemical bonds: 1
5. number of tautomers: 5
6. topological molecular polar surface area (tpsa): 101
7. number of heavy atoms: 12
8. surface charge: 0
9. complexity: 245
10. isotopic atoms quantity: 0
11. determine the number of atomic stereocenters: 0
12. uncertain number of atomic stereocenters: 0
13. determine the chemical bond positions number of stereocenters: 0
14. number of uncertain chemical bond stereocenters: 0
15. number of covalent bond units: 1
properties and stability
this product is a sulfonamide and is toxic. when taken orally, it can cause side effects such as loss of appetite, nausea, vomiting, and diarrhea, and can have adverse effects on the liver, kidneys, etc. operators should wear protective equipment and equipment should be sealed.
storage method
packaged in lined plastic bags, external wooden barrels or cardboard barrels. 50kg per barrel. store and transport according to regulations on toxic substances.
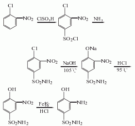
synthesis method
1. iron powder reduction method: obtained from o-nitrophenol to sulfonic acid through iron powder reduction or hydrogenation reduction.

2. hydrogenation reduction method dissolve o-nitrophenol-4-sulfonic acid in water, add 22% sodium hydroxide solution to adjust ph=6.4, and then add raney nickel (slurry). after replacement at room temperature, pressurize to 4.41mpa with 70% hydrogen, raise the temperature to 145ºc, and react for 4 hours at 145~150ºc and 3.43~4.40mpa until the hydrogen pressure does not drop as the end point. after filtering and drying, the finished product is obtained with a yield of 77.5% and a content of more than 92%.
purpose
dye intermediates. used to produce acid medium orange lr, acid medium purple, reactive purple k-3r, direct lightfast brown brl, etc. also used in the production of benzoxazole fluorescent whitening agents.

