
structural formula
| business number | 024w |
|---|---|
| molecular formula | c9h9no7 |
| molecular weight | 243.17 |
| label |
5-nitrofuryl methylene diethyl ester, 2-(acetylmethyl)-5-nitrofuran, 5-nitrofurfural diacetyl acetal, 5-nitro-2-furanmethandiol diacetate, heterocyclic compounds |
numbering system
cas number:92-55-7
mdl number:mfcd00003244
einecs number:202-166-1
rtecs number:lu1940000
brn number:255089
pubchem id:none
physical property data
1. properties: white crystalline powder or granules.
2. density (g/ml, 25/4℃): undetermined
3. relative vapor density (g/ml, air=1): undetermined
4. melting point (ºc): 90~92
5. boiling point (ºc, normal pressure): undetermined
6. boiling point (ºc, 5.2kpa): undetermined
7. refractive index: undetermined
8. flash point (ºc): undetermined
9. specific rotation (º): undetermined determined
10. autoignition point or ignition temperature (ºc): not determined
11. vapor pressure (kpa, 25ºc): not determined
12. saturated vapor pressure (kpa, 60ºc): undetermined
13. heat of combustion (kj/mol): undetermined
14. critical temperature (ºc): undetermined
15. critical pressure (kpa): undetermined
16. log value of oil-water (octanol/water) partition coefficient: undetermined
17. explosion upper limit ( %, v/v): undetermined
18. lower explosion limit (%, v/v): undetermined
19. solubility: undetermined
toxicological data
none
ecological data
none
molecular structure data
1. molar refractive index: 52.09
2. molar volume (cm3/mol): 174.1
3. isotonic specific volume (90.2k ): 460.8
4. surface tension (dyne/cm): 49.0
5. polarizability (10-24cm3): 20.65
compute chemical data
1. reference value for hydrophobic parameter calculation (xlogp): none
2. number of hydrogen bond donors: 0
3. number of hydrogen bond acceptors: 7
4. number of rotatable chemical bonds: 5
5. number of tautomers: none
6. topological molecule polar surface area 112
7. number of heavy atoms: 17
8. surface charge: 0
9. complexity: 308
10. number of isotope atoms: 0
11. determine the number of atomic stereocenters: 0
12. the number of uncertain stereocenters of atoms: 0
13. the number of determined stereocenters of chemical bonds: 0
14. the number of uncertain stereocenters of chemical bonds: 0
15. number of covalent bond units: 1
properties and stability
low toxicity. microsomal mutation test: typhimurium 10μg/plate. see furfural.
storage method
this product should be sealed and stored away from light.
packaged in iron drums or plywood drums lined with plastic bags. store in a cool, ventilated place. moisture-proof and sun-proof. store and transport according to general chemical product regulations.
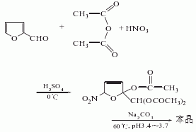
synthesis method
it is obtained by nitration and esterification of furfural. add acetic anhydride to the reaction pot, cool it to -5°c, add 1/5 of the added amount of mixed acid (nitric acid and sulfuric acid) dropwise, and then add a mixture of nitric acid and furfural (1:2 volume) dropwise at the same time, and control the temperature at at about 0℃, after adding it for about 5-6 hours, continue to add a part of furfural dropwise. then, stir for 1 hour, add water and sodium carbonate solution, raise the temperature to 55-62°c, and keep it warm for 1 hour. cool to 15°c, filter, wash with water, and spin dry to obtain the finished product, with a yield of 85%.

purpose
it is a pharmaceutical intermediate, used in the preparation of furan anti-infective drugs (furatolin, nitrofuracillin, furantantine, etc.).

