
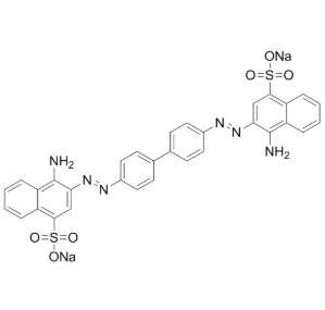
| english name: | congo red | ||
| common aliases: | congo red bs;3,3′-[[1,1′-biphenyl]-4,4′-ylbis(azo)]bis(4-aminonaphthalene-1-sulfonate disodium acid); congo red; direct scarlet; direct red 28; sodium diphenyl-4,4-bis[(azo-2)-1-aminonaphthalene-4-sulfonate; fengguo red; direct scarlet 4b ;direct congo red | ||
| cas number: | 573-58-0 | boiling point: | n/a |
| mdl number: | melting point: | >360 °c(lit.) | |
| molecular formula: | c32h22n6na2o6s2 | flash point: | n/a |
| molecular weight: | 696.66 | density: | 0.995 g/ml at 25 °c |
| physical and chemical properties: | storage conditions: | ||

