background and overview[1]
methoxyethyl acetoacetate can be used as a pharmaceutical synthesis intermediate.
apply[1]
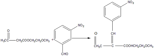
methoxyethyl acetoacetate can be used to prepare cilnidipine intermediate 2-(3-nitrobenzylidene)methoxyethyl acetoacetate. cilnidipine was developed by fujifilm corporation of japan and was first launched in japan in december 1995. the chemical name of cilnidipine is: racemic 2,6-dimethyl-4(3-nitrobenzene)-1,4-dihydropyridine-3,5-dicarboxylic acid-2-methoxyethyl (e )‑3‑phenyl‑2‑propenyl diester. cilnidipine is a lipophilic dihydropyridine calcium antagonist that can bind to the dihydropyridine site of the l-type calcium channel on the vascular smooth muscle cell membrane, inhibiting the transmembrane influx of ca2+ through the l-type calcium channel, thereby relaxing and dilating vascular smooth muscle, which plays a role in lowering blood pressure. the specific steps are as follows:

(1) weigh 200g of methoxyethyl acetoacetate, add it to a 500ml three-necked flask, stir, cool n to about 5℃, add 25ml of concentrated sulfuric acid dropwise to ensure that the temperature is below 10℃, complete the dropwise addition in 40 minutes, after completion, add 100ml of ethyl acetate, and then add 151g of m-nitrobenzaldehyde in three equal parts; (2) react at room temperature for 2.5 hours, stop stirring, and leave overnight; (3) add 450ml of ethyl acetate the next day to dissolve all the solids. add 200 ml of purified water and extract twice respectively, and collect the organic layer; (4) evaporate the ethyl acetate under reduced pressure, cool it with ice water, and crystallize; (5) filter the obtained crystals and wash them with a small amount of ethanol to obtain a light yellow solid, 70 dried at ℃, 208g of solid was obtained, with a yield of 71% and a content of 99.2% (high performance liquid chromatography analysis). compared with the existing preparation method of cilnidipine condensation intermediate, the purity of the obtained target product is high, reaching more than 99%, and the yield is high, reaching more than 70%. moreover, the reaction conditions are mild and the operation is simple.
main reference materials
[1] synthesis method of cn201110433851.12-(3-nitrobenzylidene)methoxyethyl acetoacetate

