[background and overview][1][2]
with the ban on the use of chloramphenicol in food animals, fluprofen has been for attention, it is also known as florfenicol, flufenicol, and its english name is florfenicol. its chemical name is d-threo-1-[4-(methylsulfonyl)yl]-2-(dichloro-ethyl). amide)-3-fluoro-1-propanol is a chemically synthesized chloramphenicol broad-spectrum antibacterial drug. it is a special drug for animals with low toxicity and little environmental pollution. in addition, some strains that are resistant to chloramphenicol and thiamphenicol are still sensitive to fluprofen.
fruprofen is widely distributed in animals, especially in the kidneys and lungs. relatively high, it can ideally prevent and treat respiratory and urinary tract infections in livestock and poultry. flurofen has a wide range of clinical uses and can be used for bacterial infections in livestock, poultry and fish; pleuropneumonia, yellow dysentery, and pullorum in pigs; colibacillosis and pasteurellosis in chickens, and is also used to treat sheep mammary glands inflammation, the minimum inhibitory concentration against gram-positive bacteria is>3.12mg/ml;for gram-negative bacteria, higher drug concentrations are required.
in addition, fluprofen can also be used to treat bacterial diseases in chickens and ducks, etc. it has good therapeutic effect. flurofen is widely used in veterinary clinics due to its broad spectrum and high efficiency. however, due to improper clinical use, the incidence of drug-resistant strains has increased year by year. in recent years, the resistance of fluprofen in many bacterial groups has attracted people’s attention, and relevant research reports have continued to appear. when using medication, you must strictly follow the regulations and do not abuse it to avoid developing drug resistance.
[application][1]
1. effect on fish diseases
fluprofenearliest applied to the aquaculture industry, it is used in japan to treat pseudotuberculous pasteurellosis and streptococcosis in yellow-tailed shad. the effect is significant, and the cumulative mortality rate is significantly lower than that of the non-treated control group. the bacteria isolated are more sensitive to fluprofen. , but is resistant to drugs such as chloramphenicol and oxytetracycline. fluprofen has been reported to have an inhibitory effect on mitosis of fish lymphocytes at therapeutic doses. there are also reports that fluprofen is available in40 g/mltimes can reduce fisht、blymphocyte proliferation, but has no effect at normal doses.
2. effect on chicken diseases
flurofen is quickly distributed and eliminated in chickens after intravenous injection. elimination half-life(tl/2 b)is180.80min, distribution half-life(tl/2 d)is41.48pan>f2generation cub the lactation index and survival rate are reduced, so it is recommended to be banned for pregnant animals, and the use of poultry should be banned during egg laying.
【incompatibility】[1]
fruprofen should not be combined with macrolides, lincosamides and diterpenes semi-synthetic antibiotics can produce antagonistic effects when used together. not to be combined with flurofen :12pt”>the combined use of monolactone amines and fluoroquinolones, because this product is a fast-acting bacteriostatic agent that inhibits bacterial protein synthesis, and the latter is a fast-acting fungicide during the reproduction period. under the action of the former, bacterial protein synthesis is quickly inhibited, bacteria stop growing and reproducing, and the bactericidal effect of the latter is weakened. therefore, it is necessary to exert a rapid bactericidal effect in treatment
[notes][5]
preparations formulated with this product can be miscible with water in any proportion. it is best to prepare the solution within 48h48huse within 12 seconds. if you encounter low temperatures and find that the dissolution rate is slow; or flurofen precipitates out of the prepared solution, you only need to warm it slightly(no more than45%), all can be quickly dissolved. this product can only be used as a solvent, and other procedures required for making injections cannot be omitted. the special solvent for oral administration is a light yellow transparent liquid with a maximum soluble fluprofen15%, it is recommended to control it at 10% or less. when using, weigh a certain amount of fluprofen according to the desired concentration, add the corresponding amount of solvent, and stir evenly until it is dissolved.
[preparation][3]
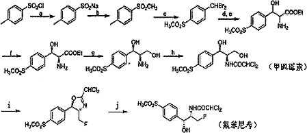
domestic companies mostly use the p-methyl sulfonyl benzaldehyde route to produce thiamphenicol, while fluthiamphenicol is generally produced from the intermediate methionine. synthesis of sulfonomycin:

among them a)naso3, nahco3; b)ch3so3na; c)br2;d)nh 2ch2cooh, cuso4, nh4oh; e)etoh, h2so4; f) tartaric acid separation; g) nabh4; h) dichloroacetonitrile, sulfuric acid, saturated with ammonia ethyl propyl alcohol, 80 ℃, 2h; i) fpa, thf, 100℃, 2h; j) potassium acetate, methanol, ethyl propyl alcohol, water, 10 h, ph 3.5-4.0.
[main reference materials]
[1] liu yanping. a brief discussion on the clinical application of fluprofen [j]. animal husbandry and veterinary science and technology information, 2013 (9): 127-128.
[2] study on the pharmacokinetics of intravenous and intramuscular injection of fluprofen in chickens
[3] ren hongqiang; ding lili; span>xin bingqing; yang zhuyu.flurofen production wastewater processing method. cn200610097421 .6, application date2006–11 –07 span>
12pt”>℃, 2h; i) fpa, thf, 100℃, 2h; j) potassium acetate, methanol, ethyl propyl alcohol, water , 10 h, ph 3.5-4.0.
[main reference materials]
[1] liu yanping. a brief discussion on the clinical application of fluprofen [j]. animal husbandry and veterinary science and technology information, 2013 (9): 127-128.
[2] study on the pharmacokinetics of intravenous and intramuscular injection of fluprofen in chickens
[3] ren hongqiang; ding lili; span>xin bingqing; yang zhuyu.flurofen production wastewater processing method. cn200610097421 .6, application date2006–11 –07 span>

