background and overview[1]
o-nitrobenzoic acid is a nitrobenzene compound containing carboxyl groups. it is chemically stable and can be reduced. the nitro group in the molecule can be reduced to generate anthranilic acid. the carboxylate group in the molecule gives it the common properties of an organic acid. o-nitrobenzoic acid is decomposed by high heat and is flammable. it generates toxic nitrogen oxides when burned. it is an antioxidant and metal anti-rust agent for organic synthesis and preparation of dyes, medicines, pigments, spices, greases and lubricating oils. important intermediates.
ecological data[1]
o-nitrobenzoic acid is harmful to the environment and can cause pollution to water bodies and the atmosphere. organic acids can easily form acid rain during atmospheric chemistry and atmospheric physical changes. therefore, when the ph value drops below 5, it will cause serious harm to animals and plants, and the reproduction and development of fish will be seriously affected. metals in the soil and water sediments in the watershed can be dissolved into the water and poison the fish. acidification of water bodies will also lead to changes in the composition and structure of aquatic organisms. acid-resistant algae and fungi will increase, while root plants, bacteria and vertebrates will decrease, and the decomposition rate of organic matter will decrease. acidification will seriously lead to the reduction or death of fish in lakes and rivers.
synthesis method[2][3][4]
synthetic path 1:
it is prepared by oxidation using o-nitrotoluene as the starting material. in the high-pressure reaction kettle, add methanol solvent, o-nitrotoluene and catalyst mno4/ruo4, introduce oxygen under full stirring, and heat at 100~150℃, 0.1 react at -2mpa for 5-15 hours. after the reaction is completed, cool to room temperature, release the pressure, filter the catalyst, extract with ether-water, wash the organic phase with water, distill the solvent to recover the solvent, and obtain o-nitrobenzoic acid with a yield of 89.1%. the purity is over 96%. the filtered catalyst can be recycled. the reaction route is as follows.

synthesis path 2:
using o-nitrotoluene as the raw material, acetonitrile, dmf, ethanol or an ethanol aqueous solution containing 10% to 95% ethanol by volume as the solvent, select 1 to 230 ppm with the following formula (i), formula (ii) or the metalloporphyrin with the structure of formula (iii) is used as a catalyst. in 0.3~2 mol/l sodium hydroxide solution, 0~0.8 mpa oxygen is introduced. the microwave reaction temperature is 60~170 ℃, and the microwave synthesis power is 0~ under the conditions of 85 w, react for 2 to 60 minutes to obtain o-nitrobenzoic acid. compared with ordinary methods, this method uses microwaves to synthesize o-nitrobenzoic acid, which reduces the reaction pressure from the existing 0.8~3mpa to 0~0.8mpa. it not only reduces the energy consumption required for the reaction, but also greatly increases the reaction time. security. in addition, this method reduces the reaction time from the existing 2~12h to 2~60min, which greatly shortens the reaction time and significantly reduces the synthesis cost.

synthetic path 3:
use o-nitrotoluene as the starting material and quaternary ammonium salt a-1 as the phase transfer catalyst to catalyze the oxidation of o-nitrotoluene with kmno4 to synthesize o-nitrobenzoic acid. suitable reaction conditions the reaction temperature is 95°c, the time is 3 hours, and the amount of quaternary ammonium salt a-1 is 5% of the reaction substrate ont. the ratio of kmno4 to ont is 2.5:1.�when the reaction system is neutral, the best oxidation effect is obtained, and the product yield reaches a maximum of 95%.
application fields[5][6][7]
1. organic synthetic raw materials
o-nitrobenzoic acid is a common raw material for organic synthesis and can be used to synthesize o-nitrobenzaldehyde. o-nitrobenzaldehyde is an important intermediate in the synthesis of the anti-angina drug nitropyridine. after reducing the nitro group to an amino group, it becomes anthranilic aldehyde is an intermediate in the synthesis of quinoline ring drugs. using o-nitrobenzoic acid as raw material, o-nitrobenzaldehyde is obtained through reductive hydrolysis of imidazoline. the process is simple and the conditions are mild. the synthesis route is shown below.

2. raw materials for drug synthesis
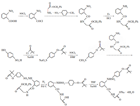
o-nitrobenzoic acid can be used to synthesize sivelelast sodium, which is the world’s first drug to treat acute lung injury associated with systemic inflammatory response syndrome. it is an elastin inhibitor that can selectively inhibits elastase release from neutrophils to treat acute lung injury. the reaction path for the synthesis of sivelelast sodium from o-nitrobenzoic acid is shown in the figure below.

using glycine benzene ester p-toluenesulfonate, p-hydroxybenzenesulfonic acid, pivaloyl chloride and o-nitrobenzoic acid as the main raw materials, o-nitrobenzene is first synthesized by reacting o-nitrobenzoic acid with dichlorosulfoxide. formyl chloride, and then combined with glycine benzyl ester p-toluenesulfonate to prepare o-nitrobenzoyl glycine benzene ester, and then reduce the amino group to obtain anthranilamide glycine benzene ester, and then combine it with p-nitrobenzoyl glycine benzene ester obtained from p-hydroxybenzenesulfonic acid. pivaloyloxybenzenesulfonyl chloride reacts to obtain n-[o-(p-pivaloyloxybenzenesulfonamide) benzoyl]glycine benzyl ester, which can be reduced and alkalized to obtain sivelast sodium.
3. ligand molecules used as rare earth complexes
the carboxylate group in o-nitrobenzoic acid can form a complex with rare earth elements, which has many special structures and luminescent properties and can be used in extraction and separation, bactericides, luminescence and functional materials. dissolve o-nitrobenzoic acid and neodymium nitrate with ethanol-water mixed solvent respectively. after mixing, add ammonia water to adjust the ph to obtain a lavender precipitate. add the precipitate to the dmf solution. after 3 days, the complex [nd(o-no2-c6h4coo)3(dmf)2] 2crystal, its molecular structure is shown in the figure below.
neodymium complex [nd(o-no2-c6h4coo)3( dmf)2]2 crystal belongs to the triclinic system, each nd(iii) is bridged by four o-nitrobenzoate groups, and the coordination number is 8. the coordinating atoms come from 6 oxygen atoms of 5 o-nitrobenzoic acid carboxylates and 2 carbonyl oxygen atoms of dmf. the hydrogen bonds and π-π stacking in the complex make it a three-dimensional structure. this complex also has photoluminescence phenomenon and has good fluorescence properties. nd(iii) ions themselves have weak luminescence intensity, and can only produce strong fluorescence after forming complexes and being excited by ultraviolet light. its luminescent performance mainly comes from the o-nitrobenzoic acid ligand in the crystal. this ligand has a rigid structure and contains atoms such as nitrogen and oxygen, which is an ideal luminescent structure.

main reference materials
[1]o-nitrobenzoic acid, chemical industry
[2] wang xiaowei, method for preparing o-nitrobenzoic acid by catalytic oxidation of o-nitrotoluene, cn 201410459437, application date 2014-09-10
[3] she yuanbin, li jing, sun zhicheng, microwave synthesis method of o-nitrobenzoic acid, cn 201110028026, application date 2011-01-26
[4]li shuhua, li xiaoru, chen shuaihua. catalytic synthesis of o-nitrobenzoic acid by quaternary ammonium salt a-1[j]. journal of central south university of technology, 2001, 32(4): 379-381.
[5]jin xin, jia weimin. research on new synthesis process of methyl anthranilate[j]. flavors, fragrances and cosmetics, 2007, 2007(3): 5-6.
[6]liu zhichen, wang decai, jiang jian, et al. research on the synthesis of silvelast sodium[d]. , 2005.
[7] zhao lifang, chen yashao. synthesis and crystal structure of rare earth complex [nd (o-no2-c6h4coo) 3 (dmf) 2] 2 [d]. , 2007.
tyle=”text-align:center”>
main reference materials
[1]o-nitrobenzoic acid, chemical industry
[2] wang xiaowei, method for preparing o-nitrobenzoic acid by catalytic oxidation of o-nitrotoluene, cn 201410459437, application date 2014-09-10
[3] she yuanbin, li jing, sun zhicheng, microwave synthesis method of o-nitrobenzoic acid, cn 201110028026, application date 2011-01-26
[4]li shuhua, li xiaoru, chen shuaihua. catalytic synthesis of o-nitrobenzoic acid by quaternary ammonium salt a-1[j]. journal of central south university of technology, 2001, 32(4): 379-381.
[5]jin xin, jia weimin. research on new synthesis process of methyl anthranilate[j]. flavors, fragrances and cosmetics, 2007, 2007(3): 5-6.
[6]liu zhichen, wang decai, jiang jian, et al. research on the synthesis of silvelast sodium[d]. , 2005.
[7] zhao lifang, chen yashao. synthesis and crystal structure of rare earth complex [nd (o-no2-c6h4coo) 3 (dmf) 2] 2 [d]. , 2007.

