background and overview[1]
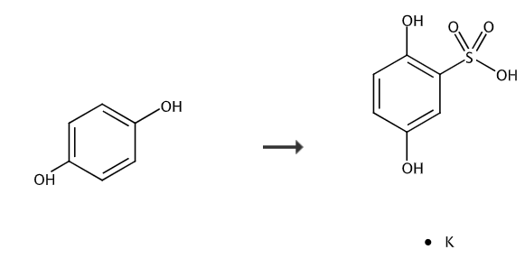
potassium 2,5-dihydroxybenzenesulfonate is a 2,5-dihydroxybenzenesulfonic acid derivative and can be used alone or in combination with other drugs to treat male sexual dysfunction and other endothelial-derived vascular diseases. potassium 2,5-dihydroxybenzenesulfonate can be prepared from hydroquinone as a starting material.
preparation[1]

put hydroquinone (25 g, 0.2270 mol) and n-heptane (75 ml) into a round-bottomed flask. after cooling the flask to about 10-15°c, add sulfuric acid (36 n, 36 n, 22.2 g) continue stirring for about 10-15 minutes. slowly increase the temperature to 50-55°c and continue stirring for 3 hours. the reaction mass was then cooled to 25-35°c and ethyl acetate (250 ml) was added to dissolve the solid that formed. a solution of potassium 2-ethylhexanoate (41.3 g, 0.2265 mol) in ethyl acetate (250 ml) was added slowly. the reaction was stirred for a further hour. the precipitated crude solid was filtered and washed with ethyl acetate.
apply[2]
cn201711459362.7 discloses a polypropylene resin composite board immobilized with ammonia-oxidizing bacteria. after cleaning the polypropylene resin plate, it is modified with a mixture prepared by potassium stannate, potassium 2,5-dihydroxybenzenesulfonate, potassium trifluoroacetate, and potassium hydrogen tartrate to obtain substance b; substance b is modified by potassium trihydrogen oxalate and agar. the mixture prepared from sugar and potassium sorbate is modified to obtain substance c. after immobilizing ammonia-oxidizing bacteria on substance c, the substance obtained is a polypropylene resin composite board with immobilized ammonia-oxidizing bacteria. the beneficial effect of the present invention is that the prepared polypropylene resin composite board with immobilized ammonia-oxidizing bacteria has the function of high bacterial activity and efficient degradation of ammonia nitrogen in wastewater.
references
[1] from pct int. appl., 2009083940, 09 jul 2009
[2] [chinese invention] cn201711459362.7 polypropylene resin composite board with immobilized ammonia-oxidizing bacteria and preparation method thereof

