background and overview[1]
n-[6-(2,5-dihydro-2,5-dioxo-1h-pyrrol-1-yl)-1-oxohexyl]-l-valyl-n5-(amino formyl)-n-[4-(hydroxymethyl)phenyl]-l-ornithine amide can be used to prepare antibody-drug conjugates.
antibody drug conjugates (adcs), as a new type of targeted drugs, generally consist of three parts: antibodies or antibody-based ligands, small molecule drugs, and linkers that couple the ligands and drugs. antibody-conjugated drugs use the specific recognition of antigens by antibodies to transport drug molecules to the vicinity of target cells and effectively release drug molecules to achieve therapeutic purposes. in august 2011, the u.s. food and drug administration (fda) approved the launch of adecteis, a new adc drug developed by seattle genetics for the treatment of hodgkin lymphoma and relapsed anaplastic large cell lymphoma (alcl). its clinical application has proven this safety and effectiveness of these drugs.
preparation[1]
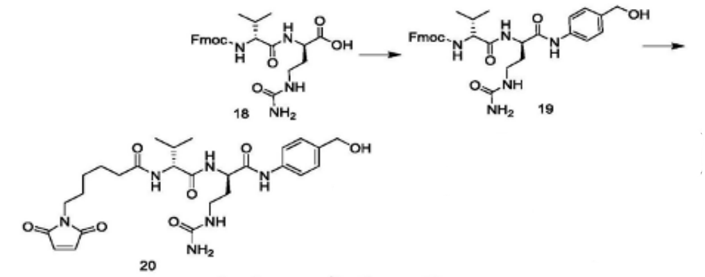
synthesis of compound 19 (fmoc-vc-paba):
dissolve 1.5g of compound 18 (fmoc-val-cit) in 14ml of dichloromethane and 7ml of methanol mixed solvent, add 4-aminobenzyl alcohol (445.2mg, 3.62mmol), and then add eedq (1.5g, 6mmol) ), stir the reaction solution at room temperature overnight, concentrate and remove the solvent, add isopropyl ether to the residue and stir for 30 minutes. after filtering the solid, add isopropyl ether and stir for another 30 minutes. filter to obtain 1.5g of fmoc-vc-paba, which is collected. the rate is 82%. m(+1)=602.6.
compound 20 (n-[6-(2,5-dihydro-2,5-dioxo-1h-pyrrol-1-yl)-1-oxohexyl]-l-valyl-n5 -(carbamoyl)-n-[4-(hydroxymethyl)phenyl]-l-ornithine amide) synthesis:
dissolve 2g fmoc-vc-paba in 10ml dmf, add 2ml piperidine, stir at room temperature for 30 minutes, monitor the reaction with tlc and then concentrate it under reduced pressure with a high vacuum oil pump to obtain a yellow solid, which can be used directly in the next reaction without purification. .
references
[1] [invented in china] cn201810943787.3 antibody drug conjugate with two different drugs


