
structural formula
| business number | 01×6 |
|---|---|
| molecular formula | c11h10n2s |
| molecular weight | 202.28 |
| label |
n-(1-naphthyl)thiourea, 1-naphthyl-2-thiourea, naphthylthiourea, 1-naphthylthiourea, safe, antu, alrato, anturat, dirax, krysid, rattrack, smeesana, 1-naphthalenylthiourea, rodenticide |
numbering system
cas number:86-88-4
mdl number:mfcd00041824
einecs number:201-706-3
rtecs number:yt9275000
brn number:778118
pubchem number:24868783
physical property data
1. properties: white prismatic crystals are obtained from alcohol. odorless, bitter, and highly toxic.
2. density (g/ml, 25/4℃): undetermined
3. relative vapor density (g/ml, air=1): undetermined
4. melting point (ºc): 198℃
5. boiling point (ºc, normal pressure): undetermined
6. boiling point (ºc, 5.2kpa): undetermined determined
7. refractive index: undetermined
8. flash point (ºc): undetermined
9. specific rotation (º): undetermined
10. autoignition point or ignition temperature (ºc): undetermined
11. vapor pressure (kpa, 25ºc): undetermined
12. saturation vapor pressure (kpa, 60ºc): undetermined
13. heat of combustion (kj/mol): undetermined
14. critical temperature (ºc): undetermined
15. critical pressure (kpa): undetermined
16. log value of oil-water (octanol/water) partition coefficient: undetermined
17. explosion upper limit (% , v/v): undetermined
18. lower explosion limit (%, v/v): undetermined 19. solubility: solubility in water at 25°c is 0.06g/100ml, solubility in propanol it is 2.43g/100ml and is easily soluble in hot ethanol.
toxicological data
norwegian rat acute oral ld50 is 6-8mg/kg > dog oral ld50 is 380mg/ kg, the oral ld50 for monkeys is 4250 mg/kg, the minimum lethal dose for humans is 588 mg/kg, and the ld50 for cats is 100 mg/kg.
ecological data
none yet
molecular structure data
1. �er refractive index: 64.52
2, molar volume (cm3/mol): 151.6
3, isotonic specific volume (90.2k): 445.5
4. surface tension (dyne/cm): 74.4
5. polarizability (10-24cm3) :25.58
compute chemical data
1. reference value for hydrophobic parameter calculation (xlogp): none
2. number of hydrogen bond donors: 2
3. number of hydrogen bond acceptors: 1
4. number of rotatable chemical bonds: 1
5. number of tautomers: 3
6. topological molecule polar surface area 70.1
7. number of heavy atoms: 14
8. surface charge: 0
9. complexity: 217
10. number of isotope atoms: 0
11. determine the number of atomic stereocenters: 0
12. uncertain number of atomic stereocenters: 0
13. determine the number of chemical bond stereocenters: 0
14. number of uncertain chemical bond stereocenters: 0
15. number of covalent bond units: 1
properties and stability
none yet
storage method
this product should be kept sealed, dry and protected from light.
synthesis method
1.antuo is produced by the reaction of α-naphthylamine and ammonium thiocyanate.
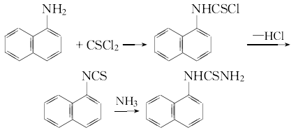
2.preparation method two
3.preparation method three

purpose
thiocarbamide acute rodenticide. it has strong selectivity and is mainly used to control rattus norvegicus and yellow-haired rat. it has low toxicity to other rat species. this agent has a strong stomach poisoning effect and can also damage the respiratory system of rats. generally, death occurs within 6 to 72 hours after eating. antuo has good palatability and is ideal for initial use. however, after ingestion of sub-lethal doses, it will develop strong drug resistance. the drug resistance can be increased by 7 to 50 times, and it will develop cross-resistance to other thiourea derivatives. it is advisable to prepare poisonous baits to control rodents. the active ingredients of poisonous baits are 0.5% to 2%. the preparation method is the same as zinc phosphide rodenticide. example 1: 0.5% antuo carrot poison bait (or use fruits or vegetables instead), place 2 to 3 piles in each room, each pile contains 10 to 20g of poison bait, and recover the remaining poison bait after 3 days. example 2: 1 part antuo raw powder, 1 part fish bone meal, 1 part edible oil, 97 parts cornmeal, mix evenly, then add appropriate amount of water to form a dough, and make poison bait pills the size of soybeans, put 2 to 3 piles in each room. 10-20g per pile is very effective in controlling rattus norvegicus. it can also be made into 2% safe wheat poison bait for use.

