
structural formula
| business number | 03ue |
|---|---|
| molecular formula | c6h7cl2n |
| molecular weight | 164.03 |
| label |
3-chloroaniline hydrochloride, 3-chloroaniline hydrochloride, m-chloroaniline hydrochloride, aromatic nitrogen-containing compounds and their derivatives |
numbering system
cas number:141-85-5
mdl number:mfcd00035485
einecs number:205-506-7
rtecs number:bx1393800
brn number:3623168
pubchem id:none
physical property data
1. properties: off-white flake crystals or powder
2. melting point (ºc): 221.5~222.5
3. solubility: easily soluble in water and alcohol.
toxicological data
1. chronic toxicity/carcinogenicity
rat oral tdlo: 650 mg/kg/13w-i;
mouse imported tdlo: 975 mg/kg/13w -i.
ecological data
other harmful effects: this substance may be harmful to the environment, and special attention should be paid to water bodies.
molecular structure data
1. molar refractive index: 35.38
2. molar volume (cm3/mol): 103.6
3. isotonic specific volume (90.2k): 268.9
4. surface tension (dyne/cm): 45.3
5. polarizability (10-24cm3): 14.02
compute chemical data
1. reference value for hydrophobic parameter calculation (xlogp): none
2. number of hydrogen bond donors: 2
3. number of hydrogen bond acceptors: 1
4. number of rotatable chemical bonds: 0
5. number of tautomers: none
6. topological molecule polar surface area 26
7. number of heavy atoms: 9
8. surface charge: 0
9. complexity: 74.9
10. number of isotope atoms: 0
11. determine the number of atomic stereocenters: 0
12. uncertain number of atomic stereocenters: 0
13. determine the number of chemical bond stereocenters: 0
14. number of uncertain chemical bond stereocenters: 0
15. number of covalent bond units: 2
properties and stability
stable under normal temperature and pressure.
incompatible materials: oxidizing agents
this product is toxic. in acute poisoning, coma and cyanosis may occur, and in severe cases, shock may be life-threatening. cats will die within 3 days after applying this ointment on their skin. the maximum allowable concentration in the air in the production workshop is 0.05 mg/m3. the production workshop should be well ventilated and the equipment should be sealed. operators should wear protective equipment, avoid direct contact, and avoid inhalation and swallowing.
storage method
seal and save.
packed in iron drums lined with plastic bags, 20kg or 40kg per drum. store in a dry, ventilated place to prevent heat and moisture. store and transport according to regulations on toxic chemicals.
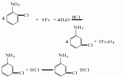
synthesis method
meta-nitrochlorobenzene is reduced with iron powder to obtain m-chloroaniline.after distillation, it is salted out with hydrochloric acid, filtered, and dried to obtain the finished product. the diazo value of dry industrial products is ≥95%. raw material consumption quota: m-chloroaniline (98%) 840kg/t, hydrochloric acid (31%) 882kg/t.

purpose
ice dye base is mainly used as a color developer for dyeing and printing cotton, linen, and viscose fabrics. it is also used as an intermediate for medicines and pesticides.

