
structural formula
| business number | 01qj |
|---|---|
| molecular formula | c12h12n2o2s |
| molecular weight | 248.3 |
| label |
diaminodiphenyl sulfone, dapsone, 4-aminophenyl sulfone, 4,4′-sulfonyldianiline, bis(4-aminophenyl)suphone, dapsone, avlosulfone, dos, bis(4-aminophenyl)sulfone, hardener, organic insulating materials |
numbering system
cas number:80-08-0
mdl number:mfcd00007887
einecs number:201-248-4
rtecs number:by8925000
brn number:788055
pubchem number:24891242
physical property data
1. properties: white or light yellow crystalline powder. odorless. slightly bitter taste.
2. density (g/ml, 20℃): 1.33
3. relative vapor density (g/ml, air=1): undetermined
4. melting point (ºc): 170~180
5. boiling point (ºc, normal pressure): undetermined
6. boiling point (ºc, 5.2kpa): undetermined
7. refractive index: undetermined
8. flash point (ºc): undetermined
9. specific optical rotation (º): undetermined
10. autoignition point or ignition temperature (ºc): undetermined
11. vapor pressure (kpa, 25ºc): undetermined
12. saturated vapor pressure (kpa, 60ºc): undetermined
13. heat of combustion (kj/mol): undetermined
14. critical temperature (ºc): undetermined
15. critical pressure (kpa): undetermined
16. log value of oil-water (octanol/water) partition coefficient: undetermined
17. explosion upper limit (%, v/v): undetermined
18. explosion lower limit (%, v/v): undetermined
19. solubility: slightly soluble in water, soluble in alcohol, chloroform, acetonitrile and other aprotic polar organic solvents, and also soluble in dilute inorganic acids
toxicological data
low toxicity, rat oral ld50 1000mg/kg. it is irritating and may cause respiratory tract irritation. it is toxic if swallowed.
ecological data
none yet
molecular structure data
1. molar refractive index: 67.51
2. molar volume (cm3/mol): 182.3
3. isotonic specific volume (90.2k): 513.0
4. surface tension (dyne/ cm): 62.6
5. polarizability (10-24cm3): 26.76
compute chemical data
1. reference value for hydrophobic parameter calculation (xlogp): none
2. number of hydrogen bond donors: 2
3. number of hydrogen bond acceptors: 4
4. number of rotatable chemical bonds: 2
5. number of tautomers: none
6. topological molecule polar surface area 94.6
7. number of heavy atoms: 17
8. surface charge: 0
9. complexity: 306
10. number of isotope atoms: 0
11. determine the number of atomic stereocenters: 0
12. uncertain number of atomic stereocenters: 0
13. determine the number of chemical bond stereocenters: 0
14. number of uncertain chemical bond stereocenters: 0
15. number of covalent bond units: 1
properties and stability
it is stable in the air, odorless, slightly bitter, and moderately toxic. operators should wear protective equipment to prevent contact with eyes, skin and clothing, and prevent accidental ingestion and inhalation.
storage method
this product should be sealed and stored away from light. should be stored in a cool, dry place. keep sealed when not in use.
synthesis method
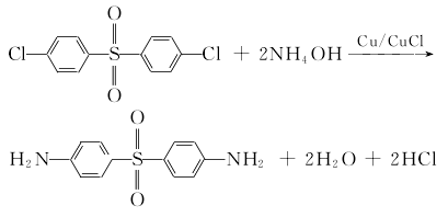
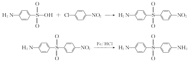
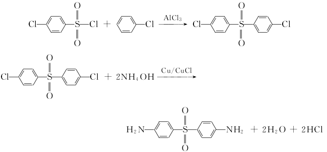
add 4,4′-dichlorodiphenylsulfone, ketone powder, subketone chloride and ammonia water into the autoclave, heat with stirring, react for 14 hours at 170~202℃ and 3mpa pressure, and then cool to 60℃ , filtered, washed and dried to obtain the crude product 4,4′-diaminodiphenyl sulfone. depending on the intended use of the product, the crude product is refined. for example, the crude product can be dissolved in 10% hydrochloric acid, decolorized with activated carbon, filtered, cooled to below 10°c, adjusted to ph 2-2.5 with sodium carbonate solution, centrifuged and filtered, washed with water until neutral, and dried to obtain the product finished product. the yield is over 78%.

(1) using p-nitrochlorobenzene and p-aminobenzenesulfonic acid as raw materials
(2)using p-nitrochlorobenzene as raw material

(3)using p-chlorobenzenesulfonyl chloride and chlorobenzene as raw materials
purpose
epoxy resin hardener. gas chromatography stationary solution (maximum operating temperature 180°c, solvent is acetone). separation and analysis of phenolic compounds. this product is used as a curing agent for epoxy resin, with low reactivity and long service life (about 1 year). suitable for cast products, laminates and adhesives, etc. the general dosage is 30 to 35 servings. curing conditions: 110~200℃/2~4h. the cured product has excellent thermal stability and outstanding chemical stability, and the heat distortion temperature is very high (170~180℃). since the mixture of this product and resin has a very high viscosity, it is generally used for casting products at temperatures above 100°c.
as an anti-leprosy drug, this product is one of the national essential drugs. it has the antibacterial spectrum of sulfa drugs. its outstanding advantage is that it has an inhibitory effect on leprosy bacteria. it is suitable for various leprosy diseases. it has good curative effect and is easy to take. it can be the drug of choice. however, it is highly toxic. combining it with other types of anti-leprosy drugs can reduce the dose, reduce toxicity and delay the development of drug resistance.

