Vitamin E Acetate
vitamin e acetate
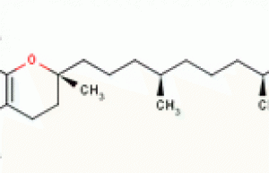
post date: dec 16,2021 expiry date: jun 14,2022 detailed description: cas no. :7695-91-2 cas registry number: 7695-91-2 synonyms: ;2h-1-benzopyran-6-ol, 3,4-dihydro-2,5,7,8-tetramethyl-2-(4,8,12-trimethyltridecyl)-, acetate;tocopheryl acetate;(2r)-2,5,7,8-tetramethyl-2-[(4s,8s)-4,8,12-trimethyltridecyl]-3,4-dihydro-2h-chromen-6-yl acetate;(2s)-2,5,7,8-tetramethyl-2-[(4r,8s)-4,8,12-trimethyltridecyl]-3,4-dihydro-2h-chromen-6-yl acetate;(2r)-2,5,7,8-tetramethyl-2-[(4r,8s)-4,8,12-trimethyltridecyl]-3,4-dihydro-2h-chromen-6-yl acetate;3,4-dihydro-2,5,7,8-tetramethyl-2-(4,8,12-trimethyltridecyl)-2h-benzopyran-6-yl acetate; molecular formula: c31h52o3 molecular weight: 472.7428 molecular structure:

