uracil uracil
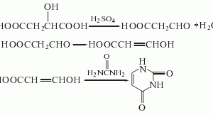
structural formula business number 01e1 molecular formula c4h4n2o2 molecular weight 112.09 label 2,4-dihydroxypyrimidine, 2,4(1h,3h)-pyrimidinedione, 2,4-dihydroxypyrimidine, 2,4-pyrimidinediol, heterocyclic compounds numbering system physical property data toxicological data ecological data molecular structure data computing chemical data more properties and stability storage method synthesis method purpose numbering system cas number:66-22-8 mdl number:mfcd00006016 einecs number:200-621-9 rtecs number:yq8650000 brn number:606623 pubchem…

