trichloroisocyanuric acid

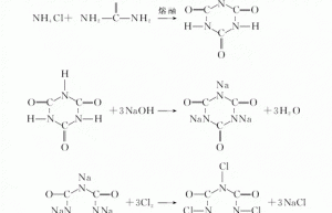
structural formula business number 01ys molecular formula c3cl3n3o3 molecular weight 232.41 label strong chlorine, trichloroethyl cyanuric acid, 1,3,5-trichloro-2,4,6-triazinetrione, symclosene, tcica, trichlorocyanuric acid, bactericidal algaecide numbering system physical property data toxicological data ecological data molecular structure data computing chemical data more properties and stability storage method synthesis method purpose numbering system cas number:87-90-1 mdl number:mfcd00006553 einecs…

trichloroisocyanuric acid

trichloroisocyanuric acid

  post date: dec 16,2021   expiry date: jun 14,2022   detailed description: cas no. :87-90-1   cas registry number: 87-90-1   synonyms: ;1,3,5-trichloro-1-triazine-2,4,6(1h,3h,5h)-trione;symclosene;trichlorocyanuric acid;trichloro-1,3,5-triazinetrione;isocyanuric chloride;1,3,5-trichloro-1,3,5-triazine-2,4,6-trione;tcca;   molecular formula: c3cl3n3o3   molecular weight: 232.41   molecular structure:   hazard symbols:  o:oxidizing agent; xn:harmful; n:dangerous for the environment;   risk codes: r22:;r31:;r36/37:;r50/53:;r8:;   safety description: s26:;s41:;s60:;s61:;s8:;

Contact Us

Contact us

+86 - 152 2121 6908

Online consultation: QQ交谈

E-mail: info@newtopchem.com

Working hours: Monday to Friday, 9:00-17:30, closed on holidays
Follow wechat
Scan wechat and follow us

Scan wechat and follow us

Follow Weibo
Back to top
Home
Products
Phone
Search