Sodium diethyl dithiophosphate
sodium diethyl dithiophosphate
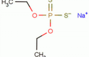
post date: dec 16,2021 expiry date: jun 14,2022 detailed description: cas no. :3338-24-7 cas registry number: 3338-24-7 synonyms: ;phosphorodithioic acid, o,o-diethyl ester, sodium salt;o,o-diethylphosphorodithioate,sodiumsalt;natrium-o,o-diethyldithiophosphat;ethyl sodium phosphorodithioate;hostaflot let;o,o-diethyldithiofosforecnan sodny;sodium o,o-diethyl phosphorodithioate;sodium diethyl dithiophosphate; molecular formula: c4h10nao2ps2 molecular weight: 208.2145 molecular structure:

