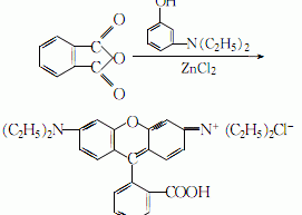
rhodamine b rhodamine b
structural formula business number 01sj molecular formula c28h31cln2o3 molecular weight 479.01 label rhodamine 610; rose red b; rhodamine b; rhodamine b; rhodamine b; blue light basic rhodamine, basic violet 10, rhodamine o, brilliant pink b, tetraethylrhodamine, dye numbering system physical property data toxicological data ecological data molecular structure data computing chemical data more properties and…

