REACTIVE RED 120
reactive red 120
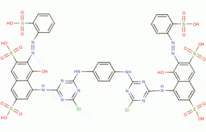
post date: nov 18,2021 expiry date: may 17,2022 detailed description: cas no. :61951-82-4 cas registry number: 61951-82-4 synonyms: ;reactive red 120;reactive brilliant red ke-3b;procionredheb;(3z,3’z)-5,5′-{benzene-1,4-diylbis[imino(6-chloro-1,3,5-triazine-4,2-diyl)imino]}bis{4-oxo-3-[(2-sulfophenyl)hydrazono]-3,4-dihydronaphthalene-2,7-disulfonic acid};reactive red ke-3b;c.i.reactive red 120; molecular formula: c44h30cl2n14o20s6 molecular weight: 1338.0868 molecular structure:

