Pyrantel Pamoate
pyrantel pamoate
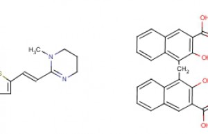
post date: dec 16,2021 expiry date: jun 14,2022 detailed description: cas no. :22204-24-6 cas registry number: 22204-24-6 synonyms: ;1,4,5,6-tetrahydro-1-methyl-2-((e)-2-(2-thienyl)vinyl)pyrimidine 4,4′-methylenebis(3-hydroxy-2-naphthoate);4,4′-methylenebis(3-hydroxy-2-naphthoic acid) compounded with (e)-1,4,5,6-tetrahydro-1-methyl-2-(2-(2-thienyl)vinyl)pyrimidine (1:1);antiminth;cobantril;combantrin;cp-10423-16;dog wormer;helmex;lombriareu;pirantel pamoate;pyrantel embonate;pyrantel pamoate;trilombrin;4,4′-methanediylbis(3-hydroxynaphthalene-2-carboxylic acid) – 1-methyl-2-[2-(thiophen-2-yl)ethenyl]-1,4,5,6-tetrahydropyrimidine (1:1);2-naphthoicacid,4,4′-methylenebis(3-hydroxy-,compd.with(e)-1,4,5,6-tetrahy; molecular formula: c34h30n2o6s molecular weight: 594.6768 molecular structure:

