preparation of m-methoxyphenylacetic acid_kain industrial additive
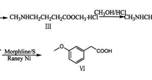
overview[1] methoxyphenylacetic acid, such as o-, p- and m-methylphenylacetic acid, is an important class of organic chemical fine chemical intermediates and is mainly used in the manufacture of pesticides, medicines and corresponding esters. in the existing technology, there are not many reports on the preparation methods of methoxyphenylacetic acid, but there are many synthesis and…

