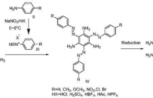
preparation of hexaaminobenzene (3 hydrochloride)_kain industrial additive
background and overview[1] hexaaminobenzene (3-hydrochloride) is an aromatic hydrocarbon derivative that can be used as an intermediate in organic synthesis. preparation[1] simple synthesis of hexaaminobenzene (3 hydrochloride): step 1: synthesis of 4-methylaniline diazonium salt of fluoroborate dissolve sodium nitrite (704mg, 1.01mmol, 1.01eq) in 3ml deionized water, place it in an ice bath to pre-cool for…

