preparation of 2-hydroxy-5-chlorobenzophenone_kain industrial additive
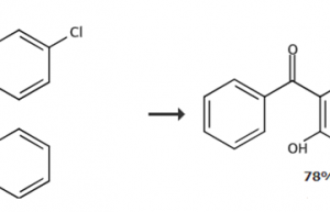
background and overview[1] 2-hydroxy-5-chlorobenzophenone can be used as a pharmaceutical synthesis intermediate. it can be prepared from 4-chlorophenyl benzoate as the reaction raw material, or by the reaction of substituted salicylic acid and arylboronic acid. . preparation[1-2] report 1, add 4-chlorophenyl benzoate (23.3 g, 100 mmol) and anhydrous aluminum chloride (16.7 g, 125 mmol, 1.25eq)…

