preparation of 2-bromo-6-fluorophenol_kain industrial additive
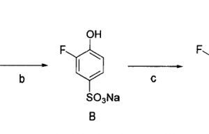
background and overview[1] 2-bromo-6-fluorophenol, also called 2-fluoro-6-bromophenol, can be used as a pharmaceutical synthesis intermediate. using 2-fluorophenol as raw material, through sulfonation, halogenation and deprotection, the intermediate 2-fluoro-6-halogenated phenol can be obtained preparation[1] synthesis of 2-fluoro-6-bromophenol: 1) synthesis of sodium 3-fluoro-4-hydroxybenzenesulfonate (b) (steps a and b, sulfonation reaction): a: add 112g (1.0mol) a to the…

