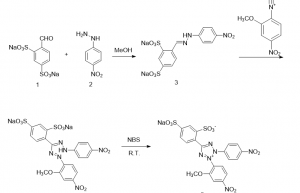
Preparation of 2-(2-methoxy-4-niphenyl)-3-(4-niphenyl)-5-(2
preparation of 2-(2-methoxy-4-niphenyl)-3-(4-niphenyl)-5-(2,4-disulfobenzene)-2h-tetrazole monosodium salt_kay yin industrial additives
background and overview[1] 2-(2-methoxy-4-niphenyl)-3-(4-niphenyl)-5-(2,4-disulfobenzene)-2h-tetrazole monosodium salt, wst-8, referred to as wst-8, is a main component in the cell activity detection agent cck-8 kit. cck-8 kit is a kit developed by japan’s dojindo research institute for detecting cell proliferation and cytotoxicity. the kit is easy to use, has high sensitivity, good repeatability and is non-radioactive. however,…

