preparation method of sulfonamide_kain industrial additive
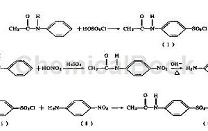
background and overview[1] sulfonate is an anti-coccidial drug belonging to the sulfonamides. this drug inhibits the dihydrofolate synthase in coccidia, hinders folic acid synthesis, blocks nucleic acid synthesis, and inhibits the reproduction of the parasite. the drug is used in coccidia. it inhibits the development of second-generation schizonts during the asexual reproduction stage and also…

