preparation method of phenyhexanoic acid_kain industrial additive
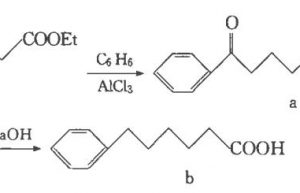
background and overview[1][2] 6-phenylhexanoic acid is an acidic organic compound and is used as a pharmaceutical intermediate. it can be prepared from 2-benzoylcyclopentanone in two steps. preparation method[1-2] report 1, 5.65 g of 2-benzoylcyclopentanone (30 mmol, 1.0 equiv) was suspended in a solution consisting of 5.04 g of potassium hydroxide (90 mmol, 3.0 equiv) and…

