preparation method of 2,6-diazaspiro[3.3]heptane-2-carboxylic acid tert-butyl ester oxalate_kain industrial additives
background and overview[1] 2,6-diazaspiro[3.3]heptane-2-carboxylic acid tert-butyl ester oxalate is a a kind of azaspirocyclic compound, often used as an intermediate in drug synthesis. there are reports in the literature that it can bind to autotaxin and act as an autotaxin inhibitor. preparation[1] (1) 1-benzoylazetidine-3-carboxylic acid methyl ester (compound 1 -1) preparation. take a 250ml single-neck…
preparation method of 2,6-difluoroaniline_kain industrial additive
preparation method【1】【2】【3】【6】 1. in a 100ml three-necked flask, add 10.0g of 2,6 difluorobenzonitrile, 30ml of h2o2, 40ml of alcohol and some homemade catalysts, control the temperature to 40~50℃, add 30ml of oh- dropwise, after adding incubate the reaction for 4 hours. after the reaction, steam distillation (part of the distilled alcohol is recovered and used),…
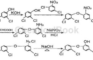
preparation method of 2,4-difluorophenol and its application in antibacterial agents_kain industrial additive
background and overview[1][2] 2,4-difluorophenol can be used as an intermediate for pharmaceutical and chemical synthesis. the existing industrial production process of fluorinated phenol mainly adopts the method of diazotization and refluorination of p-aminophenol. when produced using this method, the product yield is low, a large amount of wastewater is generated, serious pollution and high cost;…
preparation method of 2,4-difluorobiphenyl_kain industrial additive
background and overview[1] 2,4-difluorobiphenyl is not only an important intermediate and the key to the synthesis of fluorobenzene salicylic acid, it can also be used as an anti-overcharge additive for battery electrolytes, and its purity is the key to the synthesis of fluorobenzene salicylic acid. key to preventing overcharging of batteries and their performance. lithium…
preparation method of 2,3-diamino-6-fluorotoluene_kain industrial additive
background and overview[1] 2,3-diamino-6-fluorotoluene can be used as a pharmaceutical synthesis intermediate. if 2,3-diamino-6-fluorotoluene is inhaled, please move the patient to fresh air; if there is skin contact, take off contaminated clothing, rinse the skin thoroughly with soap and water, and seek medical treatment if you feel uncomfortable; if eye contact occurs, separate eyelids, rinse…
preparation method of 2,5-dimethyl-p-benzoquinone_kain industrial additive
background and overview[1] benzoquinone compounds are not only widely used in medical treatment, chemical industry, biological drugs, etc., but are also important organic intermediates. 2,5-dimethyl-p-benzoquinone can be used as a pharmaceutical synthesis intermediate. if you inhale 2,5-dimethyl-p-benzoquinone, please move the patient to fresh air; if there is skin contact, take off contaminated clothing, rinse the…
preparation method of 2,6-dichlorobenzamide_kain industrial additive
background and overview[1] halogenated benzamide compounds include 2,6-dichlorobenzamide, which is a key intermediate in the synthesis of benzoylurea pesticides, which are chitin synthesis inhibitors. , killing insects by inhibiting the biosynthesis of chitin in the insect body. its mechanism of action is different from other insecticides. it has high insecticidal activity, broad insecticidal spectrum, low…
preparation method of 2,4-diiodoaniline_kain industrial additive
overview[1] 2,4-diiodoaniline can be used as a pharmaceutical synthesis intermediate. if 2,4-diiodoaniline is inhaled, move the patient to fresh air; if there is skin contact, take off contaminated clothing, rinse the skin thoroughly with soap and water, and seek medical attention if you feel unwell; if there is eye contact , you should separate your…
preparation method of 2,3-dihydro-2-methylbenzofuran_kain industrial additive
background and overview[1][2] 2,3-dihydro-2-methylbenzofuran is an organic intermediate that can be prepared from 2-allylphenol. preparation method[1-2] 1. cyrine ayed et al. reported that 2,3-dihydro-2-methylbenzofuran can be synthesized from the following raw material (e)-2-(prop-1-en-1-yl)phenol. general procedure: add 0.1 mmol of styrene or its derivatives or olefins, photocatalyst (10 mg) to a glass vial equipped with an…
preparation method of 2,4,6-tri-tert-butyronitrosobenzene_kain industrial additive
background and overview[1] 2,4,6-tri-tert-butylnitrosobenzene can be used as a pharmaceutical synthesis intermediate. if 2,4,6-tri-tert-butyl-nitrosobenzene is inhaled, please move the patient to fresh air; if the skin comes into contact, take off contaminated clothing and wash the skin thoroughly with soap and water. if you feel discomfort , seek medical attention; if eye contact occurs, separate…

