preparation and application of dimethyl isophthalate_kain industrial additive
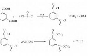
background and overview[1] dimethyl isophthalate is a white needle-like crystal, soluble in methanol and ethanol, but insoluble in water. it is used in organic synthesis and as a fixed plate for gas chromatography. dimethyl isophthalate is obtained by the esterification of isophthalic acid and methanol. preparation[2-3] report 1, add 70kg isophthalic acid and 0.6kg n,…

