piperazine hexahydrate
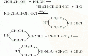
structural formula business number 03v7 molecular formula c4h10n2·6h2o molecular weight 194.23 label diethylenediamine hexahydrate, piperazine hexahydrate, piperazine hexahydrate, diethylenediamine hexahydrate, heterocyclic compounds numbering system physical property data toxicological data ecological data molecular structure data computing chemical data more properties and stability storage method synthesis method purpose numbering system cas number:142-63-2 mdl number:mfcd00149389 einecs number:203-808-3 rtecs…

