phenol red
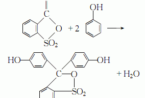
structural formula business number 03w9 molecular formula c19h14o5s molecular weight 354.38 label 3,3-bis(p-hydroxyphenyl)-3h-2,1-benzoxathiolane-1,1-dioxide, phenolsulfonphthalein, phenolsulfonyl phthalide, phenolsulfonphthalein, phenolsulfonphthalein, acid-base indicator numbering system physical property data toxicological data ecological data molecular structure data computing chemical data more properties and stability storage method synthesis method purpose numbering system cas number:143-74-8 mdl number:mfcd00003552 einecs number:205-609-7 rtecs number:sj7490000 brn…

