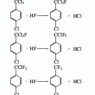
p-chlorotrifluorotoluene 1-chloro-4-(trifluoromethyl)benzene
structural formula business number 02e4 molecular formula c7h4clf3 molecular weight 180 label p-chlorotrifluorobenzyl, 4-chlorotrifluorotoluene, 1-chloro-4-(trifluoromethyl)benzene, p-chlorotrifluoromethylbenzene, p-chlorobenzyltrifluoride, p-trifluoromethyl chlorobenzene, p-chlorotrifluoromethyl benzene, pesticide intermediates; aromatic halogen derivatives numbering system physical property data toxicological data ecological data molecular structure data computing chemical data more properties and stability storage method synthesis method purpose numbering system cas number:98-56-6 mdl…

