mt01247spiramycin8025-81-8
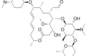
english name: spiramycin common aliases: leumycin a1;albumycin a1;spiramycin (spiramycin base) cas number: 8025-81-8 boiling point: 913.7±65.0 °c at 760 mmhg mdl number: n/a melting point: n/a molecular formula: c43h74n2o14 flash point: 506.4±34.3 °c molecular weight: 843.053 density: 1.2±0.1 g/cm3 physical and chemical properties: n/a storage conditions: avoid light, store in a cool and dry place,…

