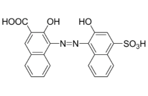
mt01047 calcium carboxylic acid indicator 3737-95-9
english name: calconcarboxylic acid common aliases: 2-hydroxy-1-(2-hydroxy-4-sulfo-1-naphthylazo)-3-naphthoic acid;3-hydroxy-4-[(2-hydroxy-4 -sulfo-1-naphthyl)azo]-2-naphthalenecarboxylic acid; 3-hydroxy-4-(2-hydroxy-4-sulfo-1-naphthylazo)naphthalene-2-carboxylic acid; calcium reagent sodium carboxylate; 1-(2-hydroxy-4-sulfo-1-naphthylazo)-2-hydroxy-3-naphthoic acid; calcium red; 1-(2-hydroxy-4-sulfo-1 -naphthazo)-2-hydroxy-3-naphthoic acid cas number: 3737-95-9 boiling point: n/a mdl number: n/a melting point: 300 °c(lit.) molecular formula: c21h14n2o7s flash point: n/a molecular weight: 438.42 density: 1.6±0.1 g/cm3 physical and chemical properties: dark violet powder…

