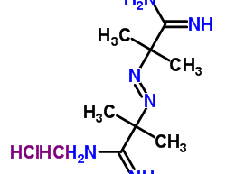
mt005762, 2′-azobisisobutylamidine dihydrochloride 2997-92-4
english name: 2,2′-azobis(2-methylpropionamidine) dihydrochloride common aliases: 2,2′-azobis(2-methylpropylimidine) dihydrochloride;2,2′-azobisisobutymidamidine hydrochloride;2,2′- azobis (2-methylpropylamidine) dihydrochloride; azoamidine initiator vazo56; 2,2`-azobis (2-methylpropylamidine) dihydrochloride; azoamidines initiator v50; azobisisobutylamidine hydrochloride (aiba); azobis(2-aminopropionamidine) hydrochloride; 2,2-azobis(2-methylpropylamidine) dihydrochloride ;azobisisobutyramidine hydrochloride cas number: 2997-92-4 boiling point: 267oc at 760 mmhg mdl number: n/a melting point: 160-169 oc molecular formula: c8h20cl2n6 flash point: 115.3oc molecular weight: 271.191…

