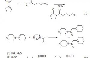
morpholine morpholine
structural formula business number 032d molecular formula c4h9no molecular weight 87.12 label tetrahydro-1,4-oxazine, 1,4-oxazacyclohexane, 1,4-oxaazepine, tetrahydro-1,4-oxazine, morpholine, morpholine, 1,4-oxazacyclohexane, p-oxazine, 1-oxa-4-azacyclohexane, 1,4-oxazinan;tetrahydro-1,4-oxazinan, heterocyclic compounds, corrosion inhibitor numbering system physical property data toxicological data ecological data molecular structure data computing chemical data more properties and stability storage method synthesis method purpose numbering system cas number:110-91-8 mdl…

