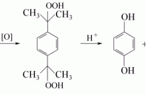
hydroquinone hydroquinone
structural formula business number 03gg molecular formula c6h6o2 molecular weight 110.11 label 1,4-dihydroxybenzene, gallinol, guineas, hydroquinone, p-hydroxyphenol, 1,4-benzodiphenol, haider, 1,4-dihydroxybenzen, 1,4-benzenediol, quinol, hydroquinol, p-dihydroxybenzene, phenol, aromatic alcohols and their derivatives numbering system physical property data toxicological data ecological data molecular structure data computing chemical data more properties and stability storage method synthesis method purpose numbering…

