gardenia yellow

gardenia yellow

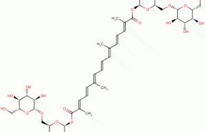
  post date: dec 29,2021   expiry date: jun 27,2022   detailed description: cas no. :94238-00-3   cas registry number: 94238-00-3   synonyms: ;ccris 7705;   molecular weight: 976.9656   molecular structure:

Contact Us

Contact us

+86 - 152 2121 6908

Online consultation: QQ交谈

E-mail: info@newtopchem.com

Working hours: Monday to Friday, 9:00-17:30, closed on holidays
Follow wechat
Scan wechat and follow us

Scan wechat and follow us

Follow Weibo
Back to top
Home
Products
Phone
Search