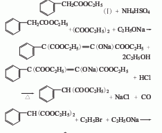
diethyl phenylethylmalonate diethyl ethylphenylmalonate
structural formula business number 01lb molecular formula c15h20o4 molecular weight 264.32 label phenethyl ester, diethyl 2-phenyl-2-ethylmalonate, ethylphenyl-propanedioic acid diethylester, phenylethyldiethylmalonate, aliphatic carboxylic acids and their derivatives numbering system physical property data toxicological data ecological data molecular structure data computing chemical data more properties and stability storage method synthesis method purpose numbering system cas number:76-67-5 mdl…

