bromothymol blue bromothymol blue
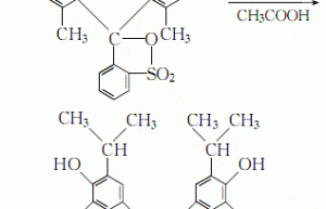
structural formula business number 01l5 molecular formula c27h28br2o5s molecular weight 624.38 label bromothymol blue, 3,3′-dibromothymolsulfonyl phthalide, bromothymol blue, bromothymol blue, 3,3′-dibromothymolsulfonphthalein, 3,3′-dibromothymolsulfophthalein, dibromothymolsulfophthalein, thymol, 6,6′-(3h-2,1-benzoxathiol-3-ylidene)bis[2-bromo-, s,s-dioxide, 3,3′-dibromothymol numbering system physical property data toxicological data ecological data molecular structure data computing chemical data more properties and stability storage method synthesis method purpose numbering system cas number:76-59-5…

